Free Access

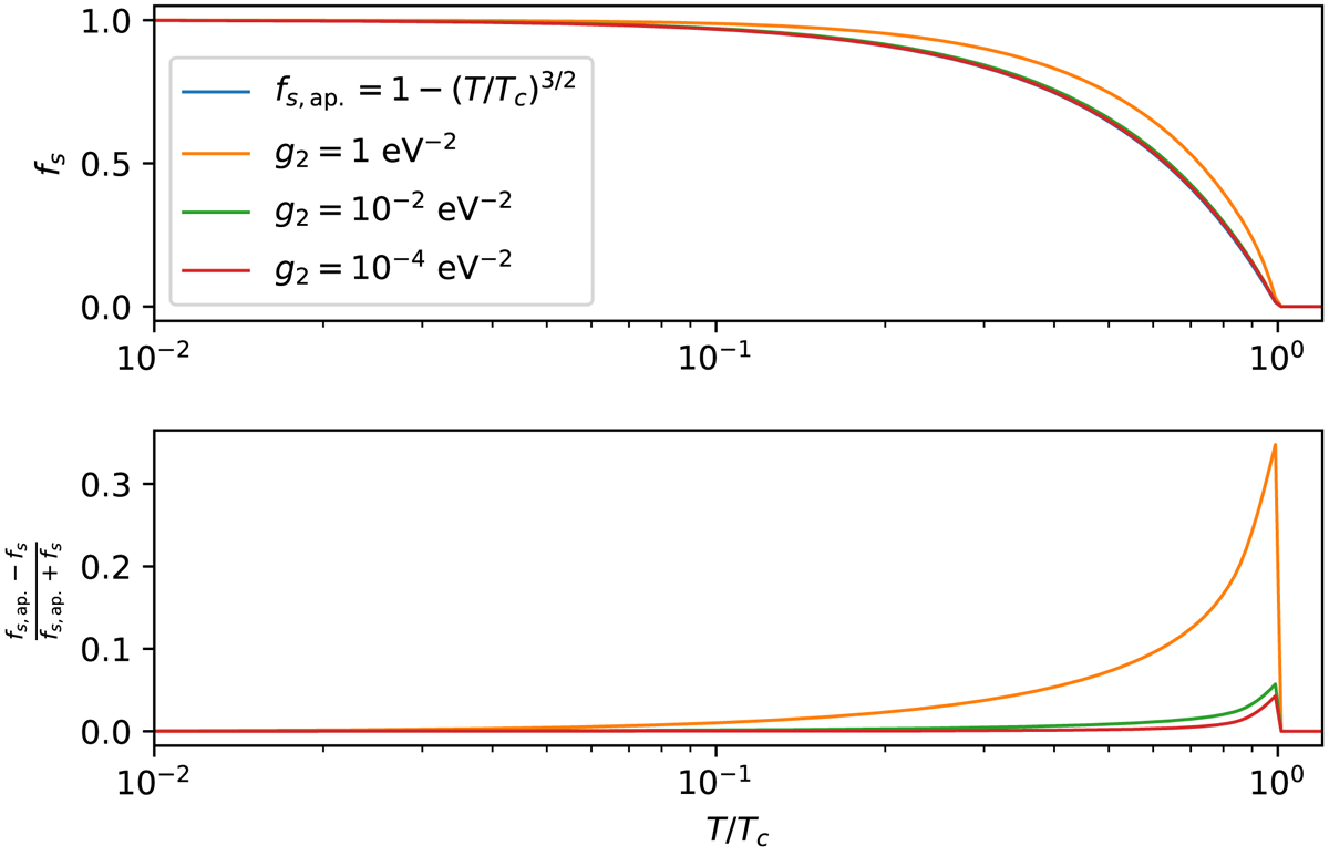
Fig. 1.

image

Superfluid fraction fs for the two-body interacting Bose gas calculated by Sharma et al. (2019) with ρ = 108ρc0 and m = 1 eV compared to the approximation fs, ap. = 1 − (T/Tc)3/2. For sufficiently weak interactions, fs can be approximated by the condensate fraction in an ideal Bose gas.

Current usage metrics show cumulative count of Article Views (full-text article views including HTML views, PDF and ePub downloads, according to the available data) and Abstracts Views on Vision4Press platform.

Data correspond to usage on the plateform after 2015. The current usage metrics is available 48-96 hours after online publication and is updated daily on week days.

Initial download of the metrics may take a while.