Free Access

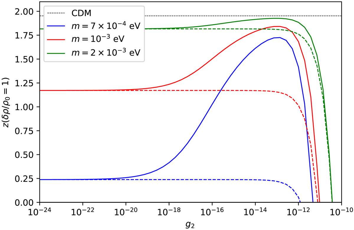
Fig. 10.

image

Redshifts when the linear density contrast for the mode k = 2/100 kpc−1 with T/Tc = 2 × 10−6 reaches unity for various masses and interaction strengths. Both the superfluid case (solid lines) and the corresponding non-superfluid case (striped lines) are shown, illustrating that the same features can be found for a choice of parameters that satisfy the constraint from cluster collisions on DM mass and self-interaction.

Current usage metrics show cumulative count of Article Views (full-text article views including HTML views, PDF and ePub downloads, according to the available data) and Abstracts Views on Vision4Press platform.

Data correspond to usage on the plateform after 2015. The current usage metrics is available 48-96 hours after online publication and is updated daily on week days.

Initial download of the metrics may take a while.