Free Access

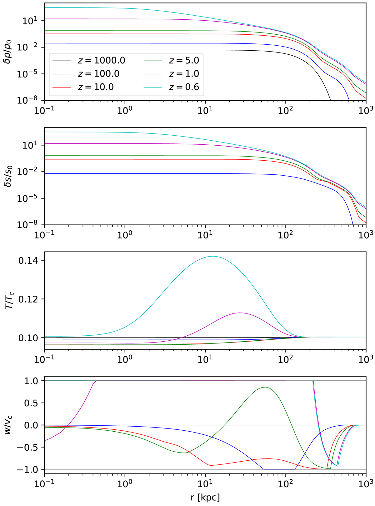
Fig. 2.

image

Profiles of a collapsing SFDM halo with an initial Gaussian density contrast, m = 30 eV, g = 10−5 eV−2, L = 100 kpc, and T/Tc = 0.1. A thermal counterflow develops and the growth of entropy perturbations is at first suppressed. This also gives a slight decrease in the ratio T/Tc, and hence the superfluid fraction, since fs = ρs/ρ = 1 − (T/Tc)3/2. As the critical velocity is reached, entropy is generated, and T/Tc increases.

Current usage metrics show cumulative count of Article Views (full-text article views including HTML views, PDF and ePub downloads, according to the available data) and Abstracts Views on Vision4Press platform.

Data correspond to usage on the plateform after 2015. The current usage metrics is available 48-96 hours after online publication and is updated daily on week days.

Initial download of the metrics may take a while.