Free Access

Fig. 6

image

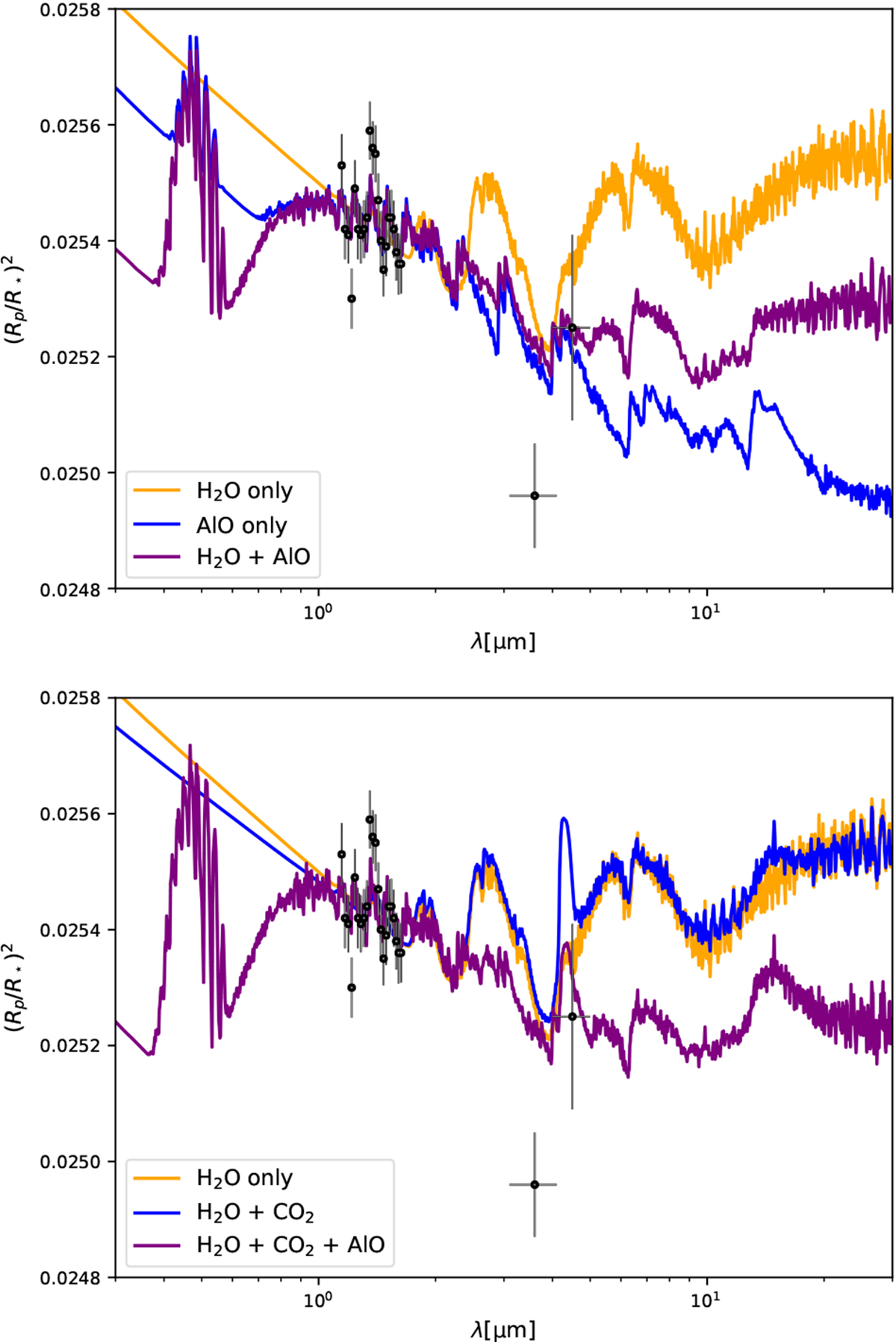
Best fit forward models between 0.3–30 μm, from our retrievals including both HST WFC3 and Spitzer IRAC data, indicating some absorption features which could be identified from transmission spectra of future missions such as JWST or ARIEL. Top: H2O only, AlO only, and H2O + AlO. Bottom: H2O only, H2O + CO2, and H2O + CO2 + AlO. The HST WFC3 and Spitzer IRAC data are included for reference.

Current usage metrics show cumulative count of Article Views (full-text article views including HTML views, PDF and ePub downloads, according to the available data) and Abstracts Views on Vision4Press platform.

Data correspond to usage on the plateform after 2015. The current usage metrics is available 48-96 hours after online publication and is updated daily on week days.

Initial download of the metrics may take a while.