Free Access
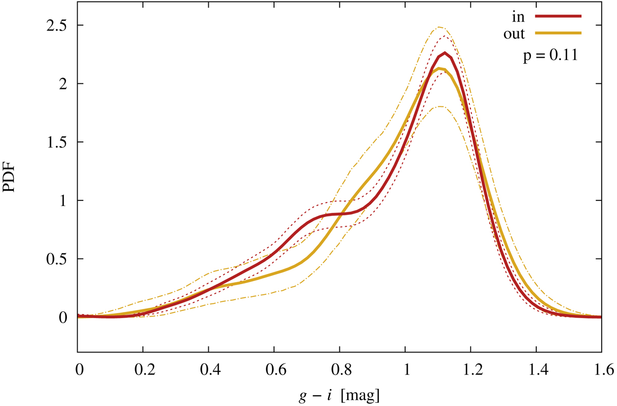
Fig. 8.

Gaussian-smoothed distributions of g − i colours in two distance bins from the nearest filament spine. The plots have the same notation as in Fig. 6. The samples have minor differences, but not significantly outside the error corridors and statistically could be drawn from the same dataset.
Current usage metrics show cumulative count of Article Views (full-text article views including HTML views, PDF and ePub downloads, according to the available data) and Abstracts Views on Vision4Press platform.
Data correspond to usage on the plateform after 2015. The current usage metrics is available 48-96 hours after online publication and is updated daily on week days.
Initial download of the metrics may take a while.