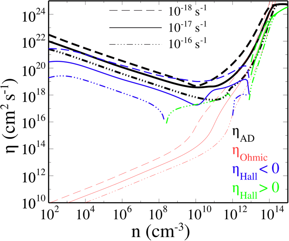
Fig. 2

Resistivities (ambipolar: black, Ohmic: red, Hall: green and blue) computed with the chemical network introduced by Zhao et al. (2016) in dependence of the number density of molecular hydrogen H2. Solid lines represent the fiducial case of a cosmic-ray ionization rate of ζ = 10−17 s−1, dashed lines represent the case of an ionization rate of ζ = 10−18 s−1, and dash-dotted lines correspond to ζ = 10−16 s−1.
Current usage metrics show cumulative count of Article Views (full-text article views including HTML views, PDF and ePub downloads, according to the available data) and Abstracts Views on Vision4Press platform.
Data correspond to usage on the plateform after 2015. The current usage metrics is available 48-96 hours after online publication and is updated daily on week days.
Initial download of the metrics may take a while.