Free Access

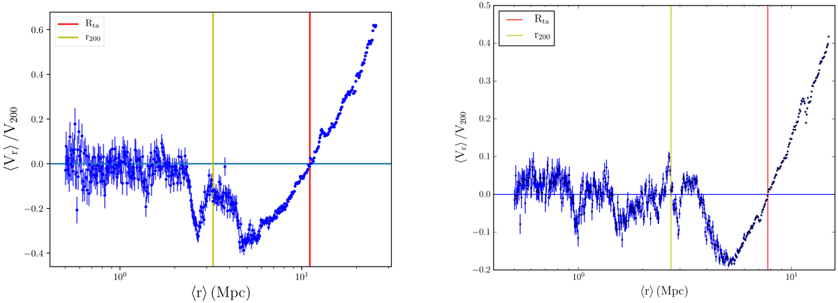
Fig. 1.

image

Spherically averaged radial velocity profiles of two dark matter halos, one from TDSS (left panel) with M200 = 2.15 × 1015M, and one from TNG-300-3 (right panel) with M200 = 6.63 × 1014M. Error bars indicate the ⟨Vr⟩ uncertainty (standard error of the mean) in each shell. In both panels, the red vertical line indicates the turnaround radius.

Current usage metrics show cumulative count of Article Views (full-text article views including HTML views, PDF and ePub downloads, according to the available data) and Abstracts Views on Vision4Press platform.

Data correspond to usage on the plateform after 2015. The current usage metrics is available 48-96 hours after online publication and is updated daily on week days.

Initial download of the metrics may take a while.