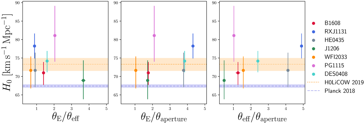
Fig. 2.

Effective radius θeff, Einstein radius θE and radius of the spectroscopic aperture θaperture of the TDCOSMO lenses. We show the ratios of these three quantities and the corresponding H0 value inferred for each system. We do not observe significant correlations between the characteristic sizes of the lens, the spectroscopic aperture and H0. The horizontal lines indicate the latest H0LiCOW 2019 (dotted orange, Wong et al. 2020) and Planck (dashed blue, Planck Collaboration VI 2020) results along with the 1σ uncertainties.
Current usage metrics show cumulative count of Article Views (full-text article views including HTML views, PDF and ePub downloads, according to the available data) and Abstracts Views on Vision4Press platform.
Data correspond to usage on the plateform after 2015. The current usage metrics is available 48-96 hours after online publication and is updated daily on week days.
Initial download of the metrics may take a while.