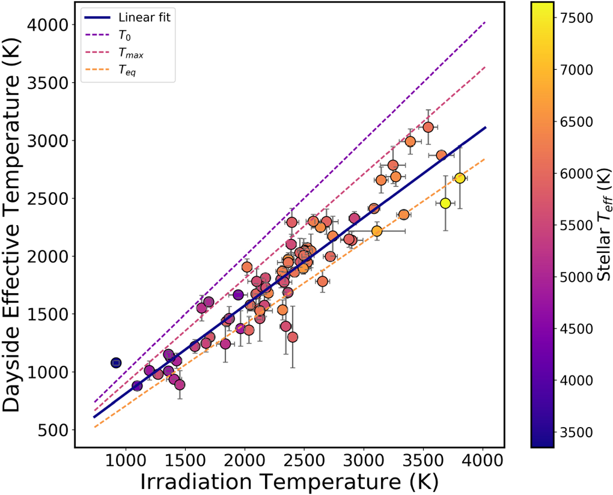
Fig. C.1

Dayside effective temperature (⟨TB⟩) vs the theoretical irradiation temperature (Teq) with zero albedo and full redistribution, similar to Schwartz & Cowan (2015), but with 28 more planets. We also plot the expected irradiation temperature (T0), the equilibrium temperature with zero albedo (Teq), and the maximum dayside temperature (Tmax). The color scale is the effective temperature of the host star in Kelvin.
Current usage metrics show cumulative count of Article Views (full-text article views including HTML views, PDF and ePub downloads, according to the available data) and Abstracts Views on Vision4Press platform.
Data correspond to usage on the plateform after 2015. The current usage metrics is available 48-96 hours after online publication and is updated daily on week days.
Initial download of the metrics may take a while.