Free Access

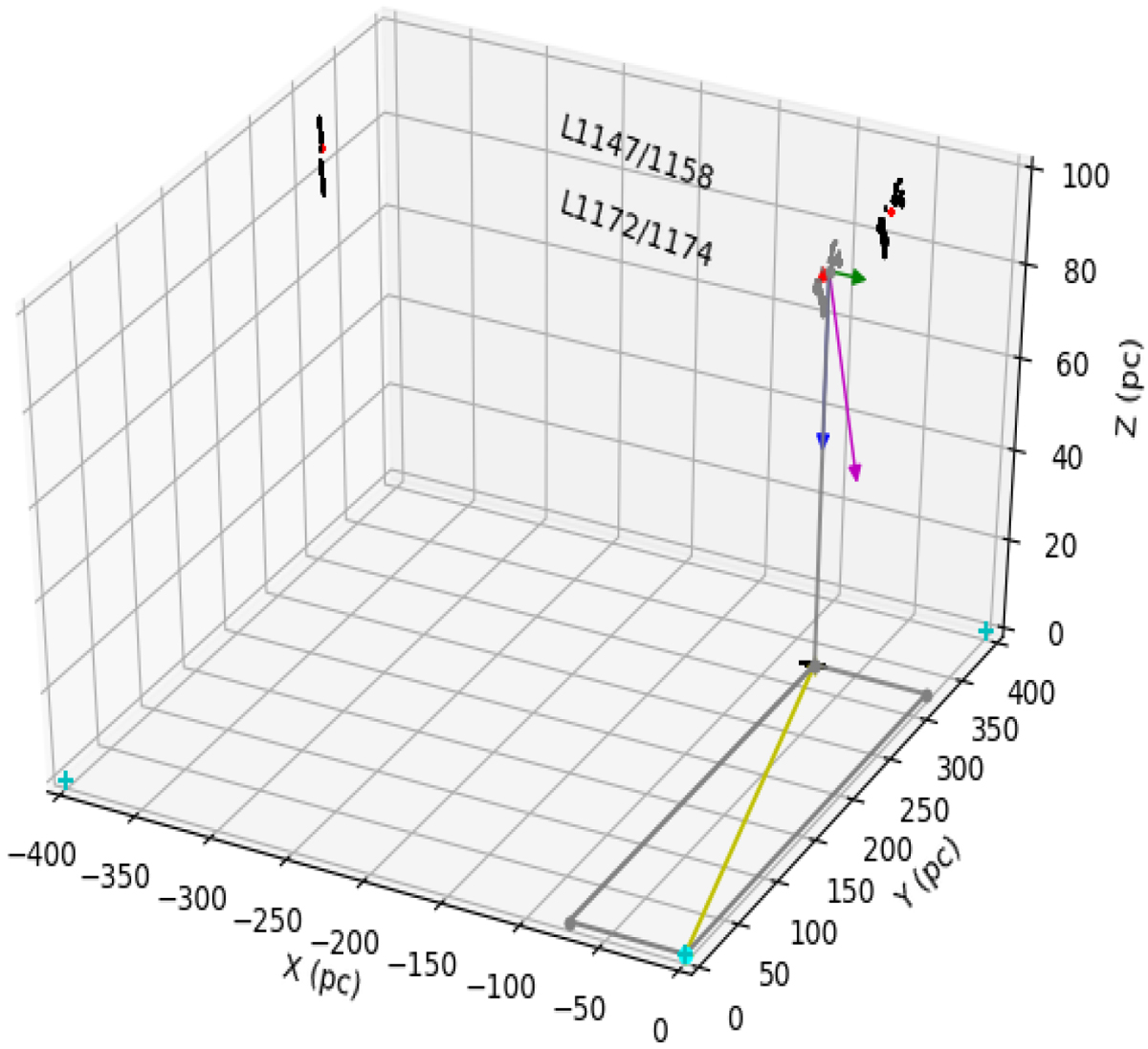
Fig. 15

image

3D motion of the L1147/1158 and L1172/1174 complexes in a rectangular coordinate system with the Sun as the origin. The X-, Y-, and Z-axes run parallel to the Sun-Galactic center vector, perpendicular to the Sun-Galactic center vector, and perpendicular to the Galactic plane, respectively. The positive direction of the X-, Y-, and Z-axes is the direction toward the Galactic center, in the direction of Galactic rotation, and toward the Galactic north pole, respectively.The green, red, and blue arrows represent the velocity components in the X-, Y-, and Z-axes, respectively. The magenta arrow represents the resulting velocity of the complex. The yellow line shows the projection of the distance of the complex on the Galactic plane. The scale of the vectors is taken as eight times the magnitude of the velocity.

Current usage metrics show cumulative count of Article Views (full-text article views including HTML views, PDF and ePub downloads, according to the available data) and Abstracts Views on Vision4Press platform.

Data correspond to usage on the plateform after 2015. The current usage metrics is available 48-96 hours after online publication and is updated daily on week days.

Initial download of the metrics may take a while.