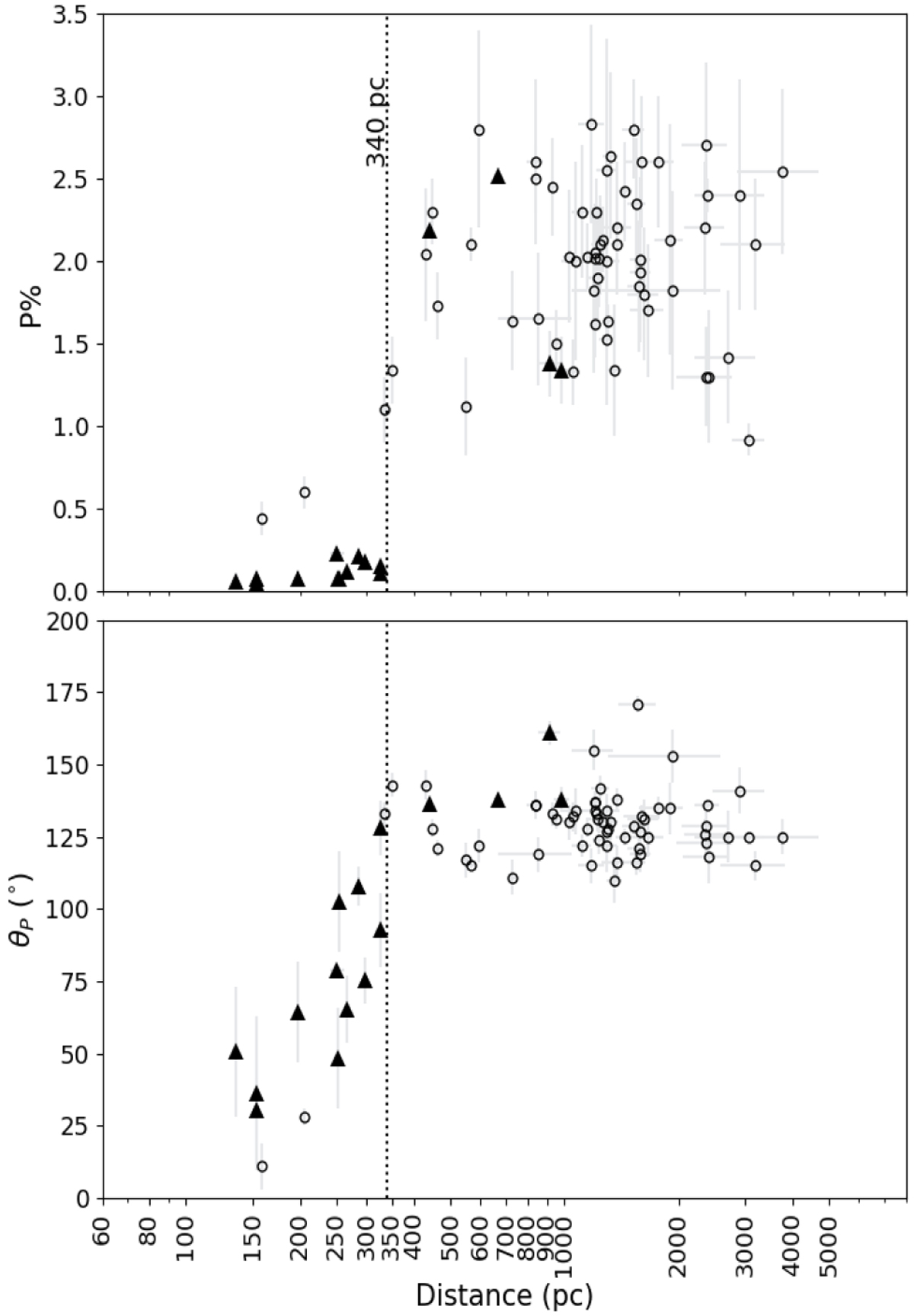
Fig. 6

Upper panel: P% vs. distance of the sources for which we made polarization measurements (open black circles). The distances are obtained from the Bailer-Jones et al. (2018) catalog. Polarization measurements of the field stars (filled triangles) are obtained from the Heiles (2000) catalog. The vertical line is drawn at 340 pc. Lower panel: variation of polarization position angles of stars as a function of their distances.
Current usage metrics show cumulative count of Article Views (full-text article views including HTML views, PDF and ePub downloads, according to the available data) and Abstracts Views on Vision4Press platform.
Data correspond to usage on the plateform after 2015. The current usage metrics is available 48-96 hours after online publication and is updated daily on week days.
Initial download of the metrics may take a while.