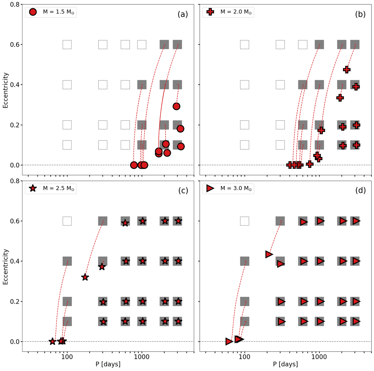
Fig. 2.

Evolution in the eccentricity-period diagram of systems that follow standard binary evolution. The dashed red line indicates the evolution of the orbit between the initial orbital parameters (grey rectangles) and the orbital parameters of the system when core-He burning starts (red symbols). Open grey rectangles represent systems where the primary does not ignite helium in the core because it leaves the RGB prematurely. Each panel corresponds to a different primary initial mass.
Current usage metrics show cumulative count of Article Views (full-text article views including HTML views, PDF and ePub downloads, according to the available data) and Abstracts Views on Vision4Press platform.
Data correspond to usage on the plateform after 2015. The current usage metrics is available 48-96 hours after online publication and is updated daily on week days.
Initial download of the metrics may take a while.