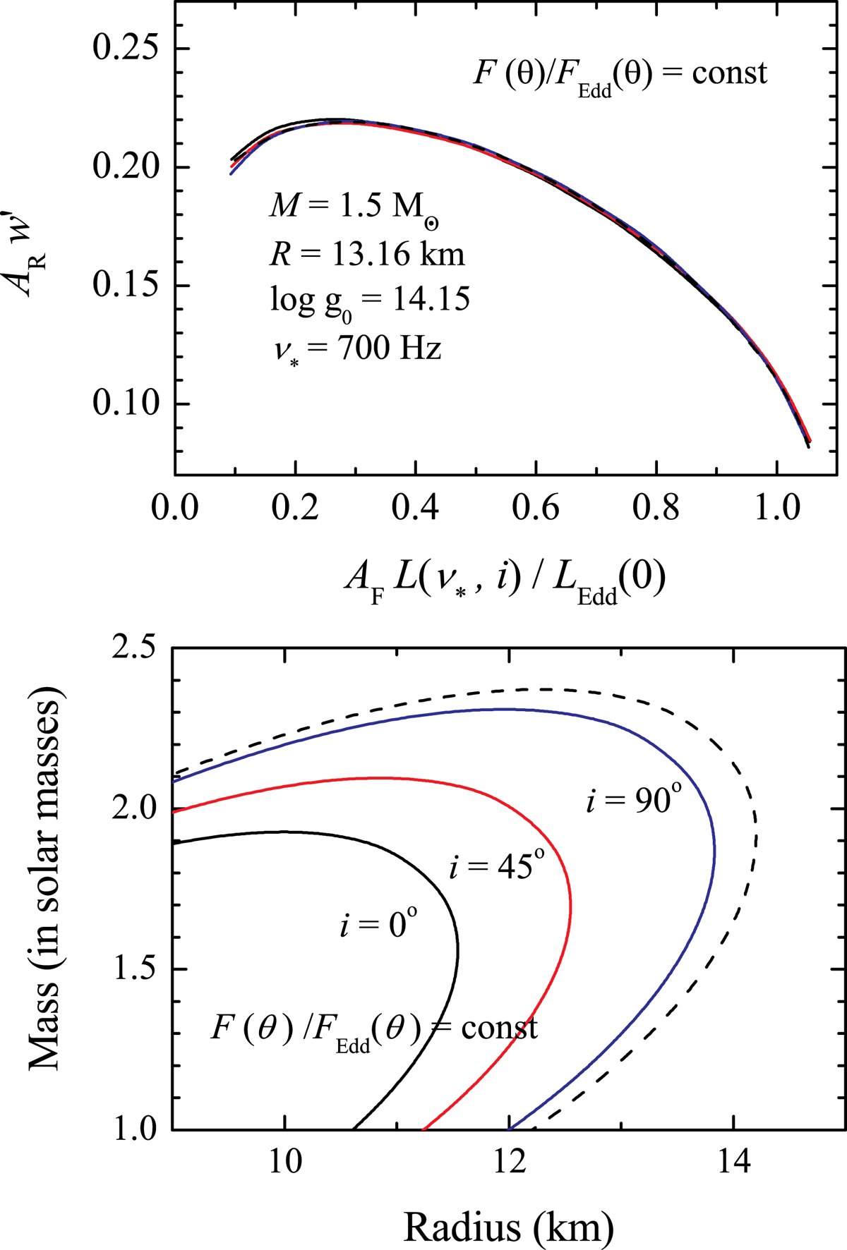
Fig. 10.

Top panel: results of fitting the w − ℓ dependence with w′−ℓ′ dependences computed for different inclination angles i and assuming constant relative flux over the NS surface (CRF case, see Fig. 8). The corresponding correction factors are (AF, AR) = (1.053, 0.856) for i = 0°, (1.1, 0.972) for 45°, and (1.15, 1.12) for 90°. Bottom panel: corresponding solutions at the (M, R) plane obtained assuming a non-rotating NS (dashed curve) and using additional correction factors AF and AR for different inclination angles.
Current usage metrics show cumulative count of Article Views (full-text article views including HTML views, PDF and ePub downloads, according to the available data) and Abstracts Views on Vision4Press platform.
Data correspond to usage on the plateform after 2015. The current usage metrics is available 48-96 hours after online publication and is updated daily on week days.
Initial download of the metrics may take a while.