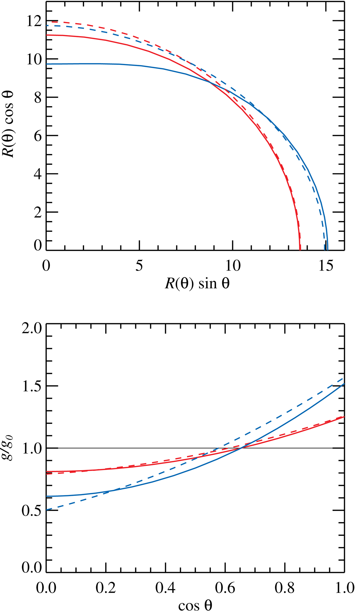
Fig. A.1.

Top panel: shape of the rotating NS computed with two different approximations. The solid curves correspond to Eq. (A.13), while the dashed curves to Eqs. (8)–(10) in Morsink et al. (2007). Bottom panel: effective surface gravity distributions. The solid curves correspond to Eq. (A.14), while the dashed curves to Eq. (50) in AlGendy & Morsink (2014). The red curves correspond to a relatively slow rotating NS with (ν* = 842 Hz, M′ = 1.8 M⊙, Re = 13.6 km). The blue curves are for a faster rotating NS with
(ν* = 1084 Hz, M′ = 1.99 M⊙, Re = 15.1 km).
Current usage metrics show cumulative count of Article Views (full-text article views including HTML views, PDF and ePub downloads, according to the available data) and Abstracts Views on Vision4Press platform.
Data correspond to usage on the plateform after 2015. The current usage metrics is available 48-96 hours after online publication and is updated daily on week days.
Initial download of the metrics may take a while.