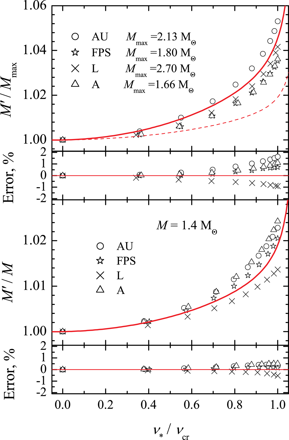
Fig. 2.

Dependences of ratios M′/M on the relative rotational frequency for numerical NS models with various EoS (Cook et al. 1994) for the maximum possible mass (top panel) and the mass M = 1.4 M⊙ (bottom panel). Red solid curves show the fits with Eq. (3) for the masses M = 2.5 M⊙ (top panel) and 1.4 M⊙ (bottom panel). The fitting curve for M = 1.4 M⊙ is shown in the top panel as dashes. The relative errors of the fits are also shown in the narrow additional panels below the main panels.
Current usage metrics show cumulative count of Article Views (full-text article views including HTML views, PDF and ePub downloads, according to the available data) and Abstracts Views on Vision4Press platform.
Data correspond to usage on the plateform after 2015. The current usage metrics is available 48-96 hours after online publication and is updated daily on week days.
Initial download of the metrics may take a while.