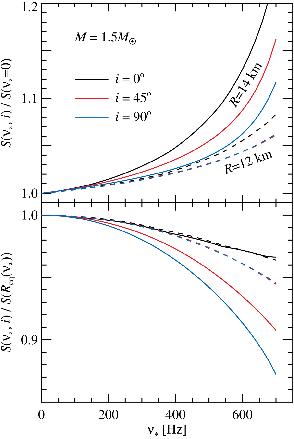
Fig. 3.

Top panel: ratio of the apparent area of a rapidly rotating NS to that of the non-rotating star (of the same baryonic mass) as a function of the rotational frequency for inclination angles i= 0°, 45°, and 90° is shown by black, red, and blue curves, respectively. The mass of a non-rotating star was assumed M = 1.5 M⊙ and two radii R = 14 (solid curves) and 12 km (dashed curves) are considered. Bottom panel: apparent area of a rapidly rotating NS for the same family of models as in the top panels divided by the apparent area of a non-rotating NS of the same gravitational mass M′ (from Eq. (3)) and the radius equal to equatorial radius Re given by Eq. (2). The red and the blue dashed curves overlap in both panels.
Current usage metrics show cumulative count of Article Views (full-text article views including HTML views, PDF and ePub downloads, according to the available data) and Abstracts Views on Vision4Press platform.
Data correspond to usage on the plateform after 2015. The current usage metrics is available 48-96 hours after online publication and is updated daily on week days.
Initial download of the metrics may take a while.