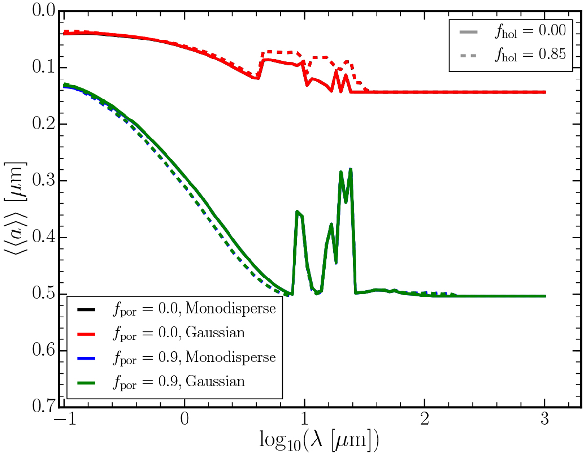
Fig. 10

Average of the mean cloud particle size for particles in the optically thin atmosphere ⟨ ⟨ a ⟩ ⟩ [μm], (defined asthe average above the pressure, as defined in Eq. (22) and shown in Fig. 9). Four cloud particle cases are shown: monodisperse distribution of compact particles (black), Gaussian distribution of compact particles (red), monodisperse distribution of highly micro-porous particles fpor = 0.9 (blue), and Gaussian distribution of highly micro-porous particles (green). The inverted y-axis aids comparison with Fig. 9.
Current usage metrics show cumulative count of Article Views (full-text article views including HTML views, PDF and ePub downloads, according to the available data) and Abstracts Views on Vision4Press platform.
Data correspond to usage on the plateform after 2015. The current usage metrics is available 48-96 hours after online publication and is updated daily on week days.
Initial download of the metrics may take a while.