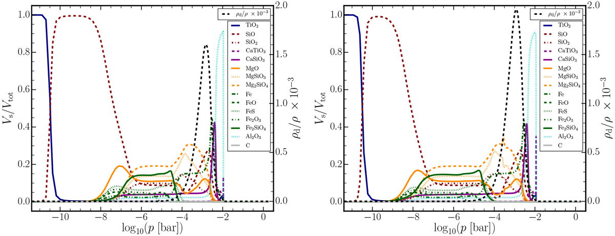
Fig. A.3

Material properties of cloud particles in the Teff = 1800 K, log (g) = 3.0 atmosphere. Left: for compact cloud particles (fpor = 0.0). Right: for highly micro-porous cloud particles (fpor = 0.9). Left axis: material volume fractions of cloud particles. Right axis: ratio of cloud particle mass to gas mass ρd ∕ρ scaled by a factor of 10−3 (black dashed line).
Current usage metrics show cumulative count of Article Views (full-text article views including HTML views, PDF and ePub downloads, according to the available data) and Abstracts Views on Vision4Press platform.
Data correspond to usage on the plateform after 2015. The current usage metrics is available 48-96 hours after online publication and is updated daily on week days.
Initial download of the metrics may take a while.