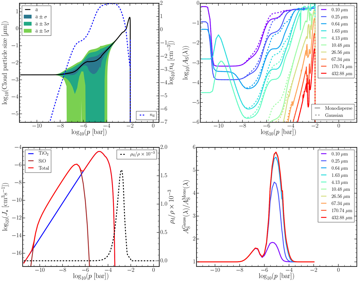
Fig. 5

Gaussian cloud particle size distribution material and optical effects (atmosphere of Teff = 1800 K, log (g) = 3.0). Top left: Gaussian distribution mean cloud particle size
(solid black). Green contours show particle sizes 1 σ, 3 σ, and 5 σ from the mean size (left axis). Top left: cloud particle number density nd [cm−3] (dashed blue line, right axis). Below this we reproduce material property plots to facilitate comparison. These are identical tothose shown in Fig. 1. Bottom left: nucleation rates (left axis) for individual species Ji [cm3 s−1] i = TiO2 [s] (blue), SiO[s] (brown), and the total J* = ΣiJi (red). Bottom left: ratio of the cloud particle mass density and gas mass density ρd ∕ρ scaled by a factor of 10−3 (black dashed line, right axis). Top right: single-scattering albedo (AS(λ)) for monodisperse cloud particles ⟨ a ⟩ [μm] (solid) and Gaussian size distribution (dotted) at wavelengths λ = 0.1, 0.25, 0.64, 1.63, 4.13, 10.48, 26.56, 67.34, 170.74, and 432.88 μm. Bottom right: ratio of the single-scattering albedo for a Gaussian and monodisperse size distribution (
), i.e. a value of > 1 indicates an increase in the albedo when a particle size distribution is included. The wavelengths are the same as for top right plot.
Current usage metrics show cumulative count of Article Views (full-text article views including HTML views, PDF and ePub downloads, according to the available data) and Abstracts Views on Vision4Press platform.
Data correspond to usage on the plateform after 2015. The current usage metrics is available 48-96 hours after online publication and is updated daily on week days.
Initial download of the metrics may take a while.