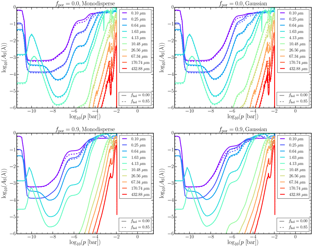
Fig. 6

Single-scattering albedo (AS(λ)) with (solid) and without (dashed) a distribution of hollow spheres for the atmosphere Teff = 1800 K, log (g) = 3.0 at wavelengths λ = 0.1, 0.25, 0.64, 1.63, 4.13, 10.48, 26.56, 67.34, 170.74, and 432.88 μm. Left column: for monodisperse cloud particles according to mean particle size ⟨ a ⟩ [μm ]. Right column: for the derived Gaussian cloud particle size distribution. Top row: for compact cloud particles (fpor = 0.0). Bottom row:for highly micro-porous (fpor = 0.9) cloud particles.
Current usage metrics show cumulative count of Article Views (full-text article views including HTML views, PDF and ePub downloads, according to the available data) and Abstracts Views on Vision4Press platform.
Data correspond to usage on the plateform after 2015. The current usage metrics is available 48-96 hours after online publication and is updated daily on week days.
Initial download of the metrics may take a while.