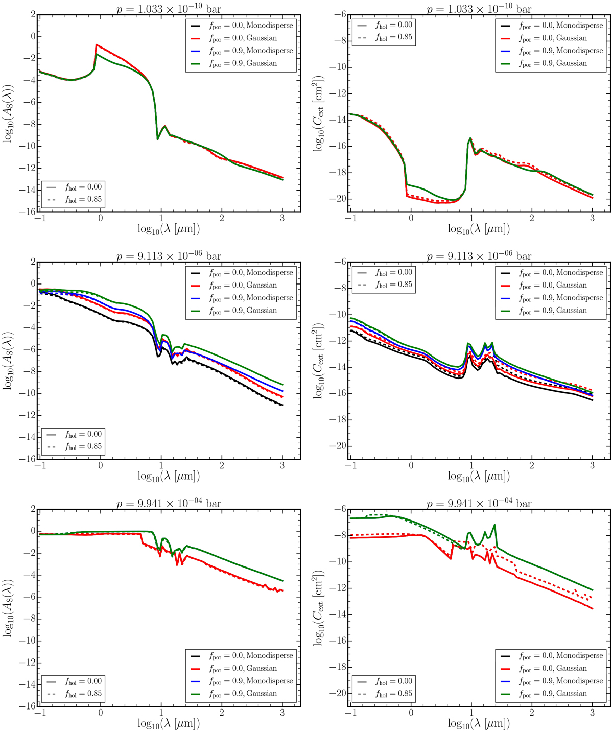
Fig. 7

Single-scattering albedo AS(λ) (left column) and extinction cross section Cext [cm2] (right column) as a function of wavelength at selected pressure levels. Calculated with (solid) and without (dashed) a distribution of hollow spheres for the Teff = 1800 K, log(g) = 3.0 profile. Shown are the pressure levels nearest to 10−10, 10−5, and 10−3 bar (top, middle, and bottom panels). These levels are representative of the upper atmosphere, the typical lowest pressure of general circulation models, and the regime where transmission observations are sensitive, respectively. Four cloud particle cases are shown: monodisperse distribution of compact particles (black), Gaussian distribution of compact particles (red), monodisperse distribution of highly micro-porous particles fpor = 0.9 (blue), and Gaussian distribution of highly micro-porous particles (green).
Current usage metrics show cumulative count of Article Views (full-text article views including HTML views, PDF and ePub downloads, according to the available data) and Abstracts Views on Vision4Press platform.
Data correspond to usage on the plateform after 2015. The current usage metrics is available 48-96 hours after online publication and is updated daily on week days.
Initial download of the metrics may take a while.