Free Access
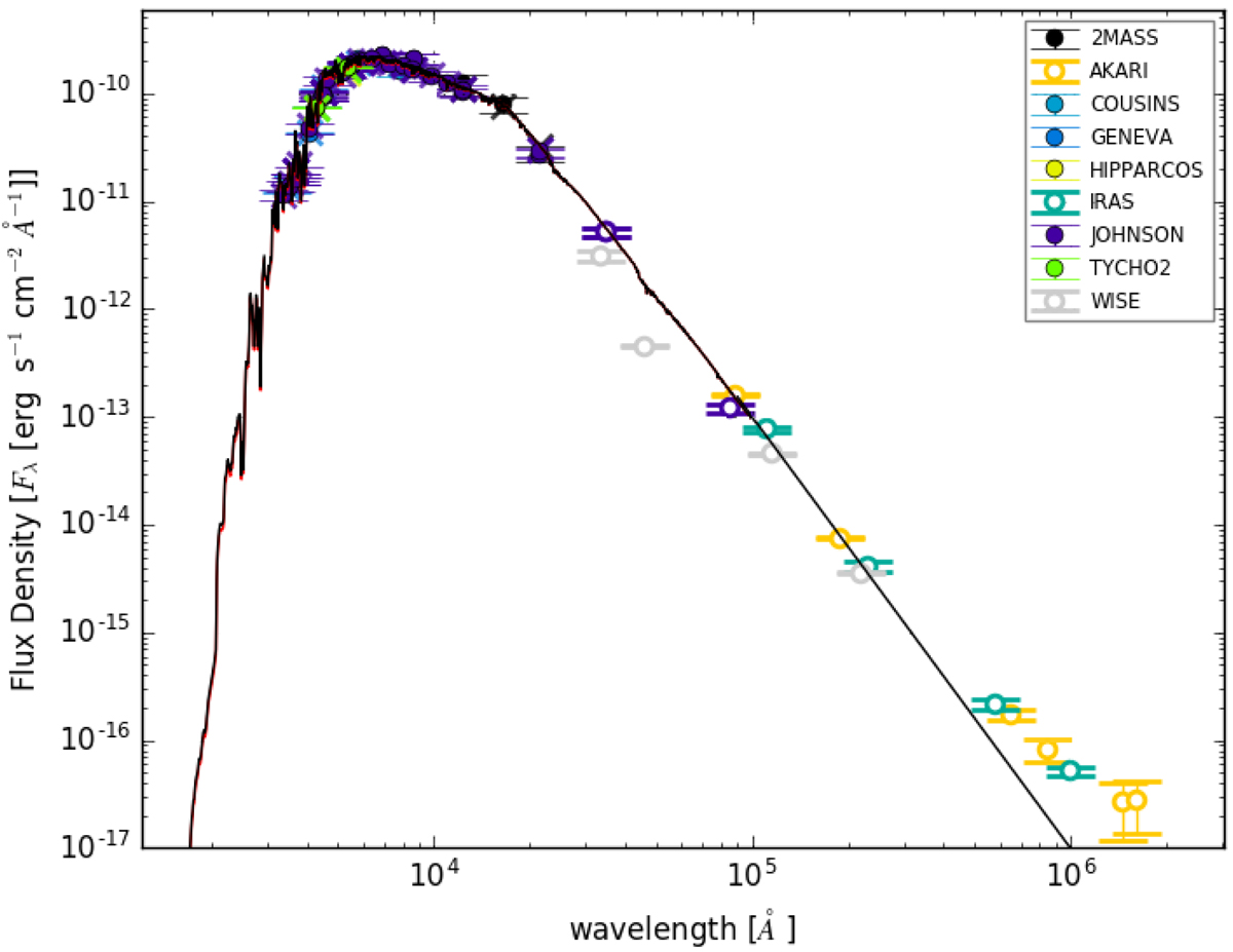
Fig. B.1.

Spectral energy distribution for HD 3627 with photometry extracted from the SIMBAD data base, with the best-fitting MARCS model superimposed (red curve, barely visible). The black curve corresponds to the dereddened SED. Far-IR excess has been detected by IRAS and AKARI.
Current usage metrics show cumulative count of Article Views (full-text article views including HTML views, PDF and ePub downloads, according to the available data) and Abstracts Views on Vision4Press platform.
Data correspond to usage on the plateform after 2015. The current usage metrics is available 48-96 hours after online publication and is updated daily on week days.
Initial download of the metrics may take a while.