Open Access
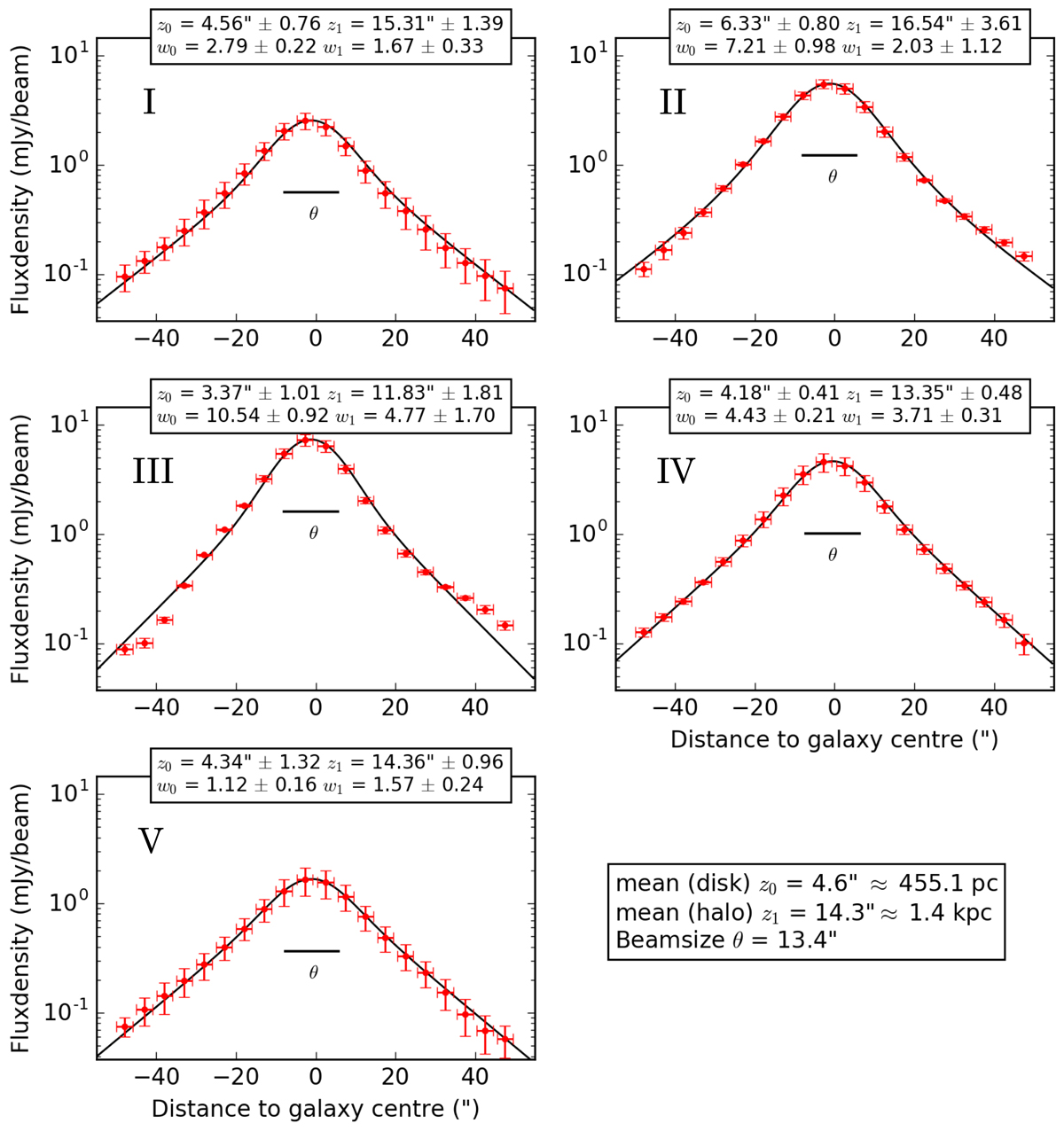
Fig. 9.

Strip fitting with NOD3 for five strips of NGC 4217 on the combined L-band data with a two-component exponential fit. Designations are the same as for Fig. 8.
Current usage metrics show cumulative count of Article Views (full-text article views including HTML views, PDF and ePub downloads, according to the available data) and Abstracts Views on Vision4Press platform.
Data correspond to usage on the plateform after 2015. The current usage metrics is available 48-96 hours after online publication and is updated daily on week days.
Initial download of the metrics may take a while.