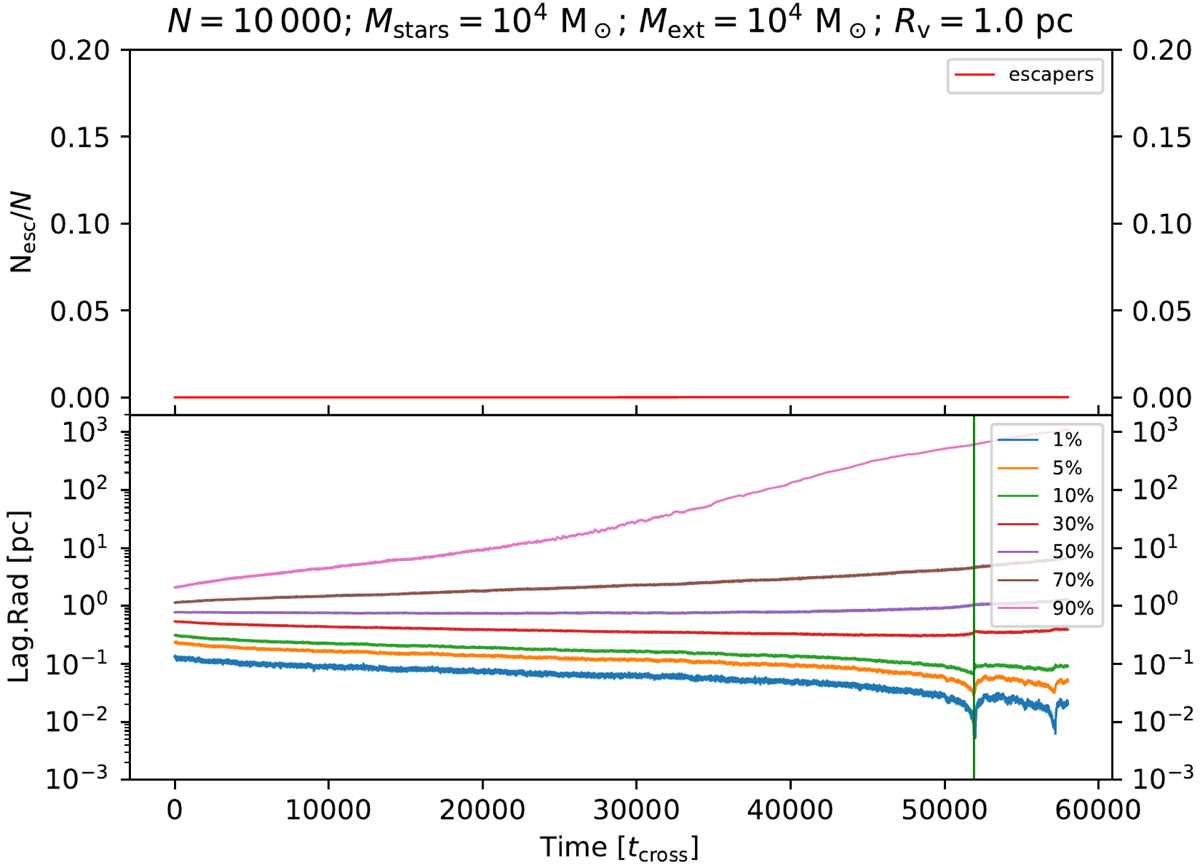
Fig. 2.

Evolution of a cluster with N = 10 000 stars with a total stellar mass of Mstars = 104 M⊙ and a virial radius of Rv = 1.0 pc in the center of an external analytic potential with Mext = 104 M⊙. Top panel: fraction of ejections from the cluster and bottom panel: Lagrangian radii of the cluster. The vertical green line marks the moment of core collapse.
Current usage metrics show cumulative count of Article Views (full-text article views including HTML views, PDF and ePub downloads, according to the available data) and Abstracts Views on Vision4Press platform.
Data correspond to usage on the plateform after 2015. The current usage metrics is available 48-96 hours after online publication and is updated daily on week days.
Initial download of the metrics may take a while.