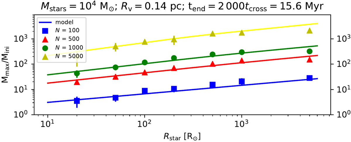
Fig. 9.

Mean mass of the most massive star normalized by its initial mass, as a function of N and Rstar for clusters without an external potential evolved until 2000 tcross = 15.6 Myr. The symbols represent the mean values obtained from six simulations and the solid lines show the results of the calculations with our model presented in Eq. (8) using t = 15.6 Myr and the parameters obtained from Eqs. (9)–(12).
Current usage metrics show cumulative count of Article Views (full-text article views including HTML views, PDF and ePub downloads, according to the available data) and Abstracts Views on Vision4Press platform.
Data correspond to usage on the plateform after 2015. The current usage metrics is available 48-96 hours after online publication and is updated daily on week days.
Initial download of the metrics may take a while.