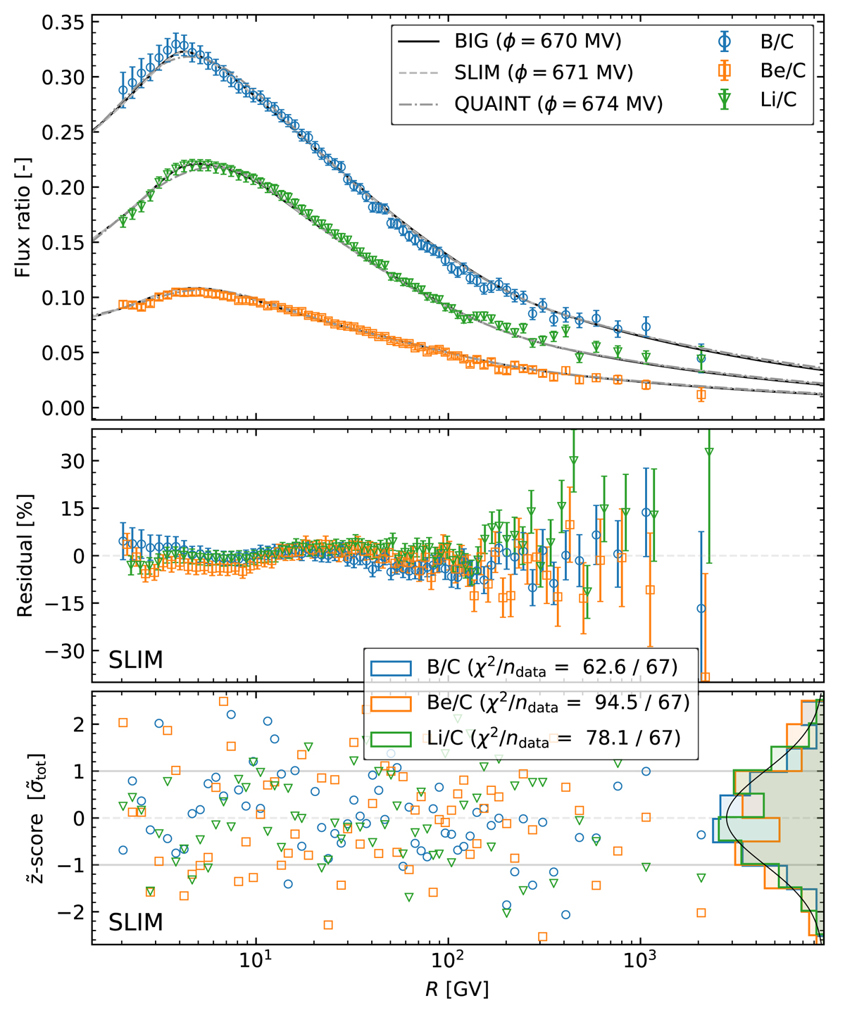
Fig. 2.

Flux ratios (top), residuals (centre), and -scores (bottom) for B/C (blue circles), Be/C (orange squares), and Li/C (green triangles). The models (top panel) are calculated for BIG (solid line), QUAINT (dash-dotted line), and SLIM (dotted line), from the best-fit transport parameters of the combined analysis of all three species. The residuals and
-score are shown for SLIM only; the
-score is related to the usual z-score by a rotation in a base where the covariance matrix of data systematics is diagonal (see text for details).
Current usage metrics show cumulative count of Article Views (full-text article views including HTML views, PDF and ePub downloads, according to the available data) and Abstracts Views on Vision4Press platform.
Data correspond to usage on the plateform after 2015. The current usage metrics is available 48-96 hours after online publication and is updated daily on week days.
Initial download of the metrics may take a while.