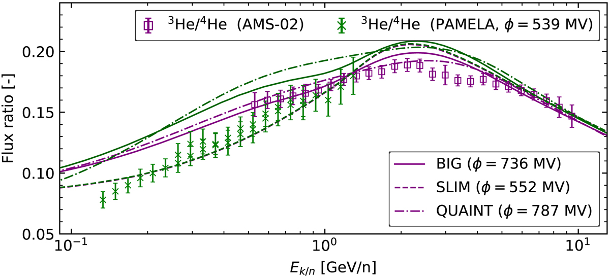
Fig. 8.

3He/4He as a function of Ek/n for AMS-02 (purple squares) and PAMELA (green crosses)–the latter combine data from two different analysis, respectively PAMELA-ToF and PAMELA-Calorimeter (Adriani et al. 2016). All models are calculated from the best-fit parameters of the combined analysis of Li/C, Be/C, B/C, N/O, 3He, and 4He AMS-02 data. Different line styles show different model configurations (BIG, SLIM, and QUAINT) and their respective post-fit solar modulation level in purple. Green lines show the same model calculations but modulated at the PAMELA expected value of 539 MV.
Current usage metrics show cumulative count of Article Views (full-text article views including HTML views, PDF and ePub downloads, according to the available data) and Abstracts Views on Vision4Press platform.
Data correspond to usage on the plateform after 2015. The current usage metrics is available 48-96 hours after online publication and is updated daily on week days.
Initial download of the metrics may take a while.