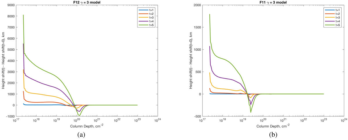
Fig. 4.

Linear depths (Y-axis) versus column depths (X-axis) of hydrodynamic responses of a flaring atmosphere to the injection of a beam with the initial flux of f 1.0 × 1013 erg⋅cm−2⋅s−1 (left) 1.0 × 1011 erg⋅cm−2⋅s−1 (right) and a spectral index of 3.0. Note that the zero point in axis Y indicates the position of the quiet Sun photosphere.
Current usage metrics show cumulative count of Article Views (full-text article views including HTML views, PDF and ePub downloads, according to the available data) and Abstracts Views on Vision4Press platform.
Data correspond to usage on the plateform after 2015. The current usage metrics is available 48-96 hours after online publication and is updated daily on week days.
Initial download of the metrics may take a while.