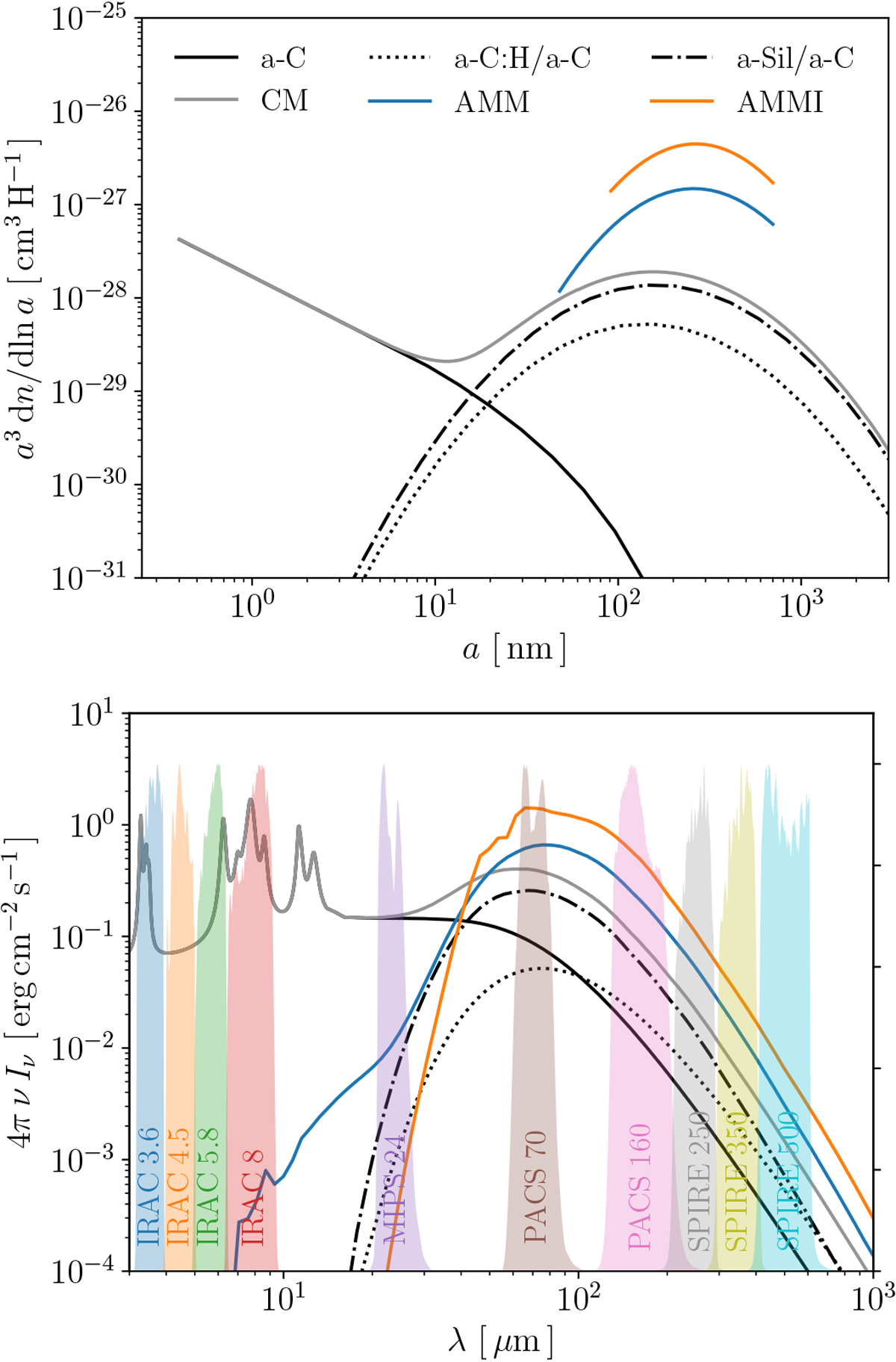
Fig. 3

Top: size distributions of the dust mixtures from THEMIS (parameters are listed in Table A.1) for CM-grains, i.e. diffuse ISM-like dust (grey line), AMM (blue line), and AMMI (orange line), i.e. grain aggregates typical of starless dense clouds. The black line, the dotted line, and the dash-dotted line correspond to a-C, a-C:H/a-C, and a-Sil/a-C respectively, which are the sub-components of the CM grains. Bottom: associated spectra, computed with DustEM with a radiation field corresponding to a star at 34 600 K with G0 = 100.
Current usage metrics show cumulative count of Article Views (full-text article views including HTML views, PDF and ePub downloads, according to the available data) and Abstracts Views on Vision4Press platform.
Data correspond to usage on the plateform after 2015. The current usage metrics is available 48-96 hours after online publication and is updated daily on week days.
Initial download of the metrics may take a while.