Open Access
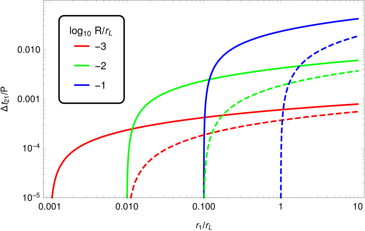
Fig. 25.

Shapiro time-delay Δt21/P for several spin parameters a = R/rL = {10−3, 10−2, 10−1} in red, green, and blue for a compactness K = 0.5 and assuming that one photon is emitted from a height R and 10 R, shown as the solid and dashed line, respectively.
Current usage metrics show cumulative count of Article Views (full-text article views including HTML views, PDF and ePub downloads, according to the available data) and Abstracts Views on Vision4Press platform.
Data correspond to usage on the plateform after 2015. The current usage metrics is available 48-96 hours after online publication and is updated daily on week days.
Initial download of the metrics may take a while.