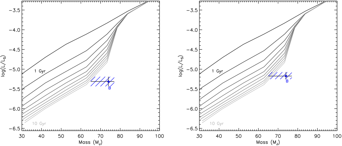
Fig. 15

Bolometric luminosity of HD 19467B computed using the NIRC2 photometry in the Ks band (left) and in the J band (right) and the relations of Filippazzo et al. (2015) for field dwarfs as a function of the mass estimated from the orbital fit and the theoretical hydrogen-burning mass limit (see text). For comparison, the model isochrones of Baraffe et al. (2003) are indicated.
Current usage metrics show cumulative count of Article Views (full-text article views including HTML views, PDF and ePub downloads, according to the available data) and Abstracts Views on Vision4Press platform.
Data correspond to usage on the plateform after 2015. The current usage metrics is available 48-96 hours after online publication and is updated daily on week days.
Initial download of the metrics may take a while.