Free Access

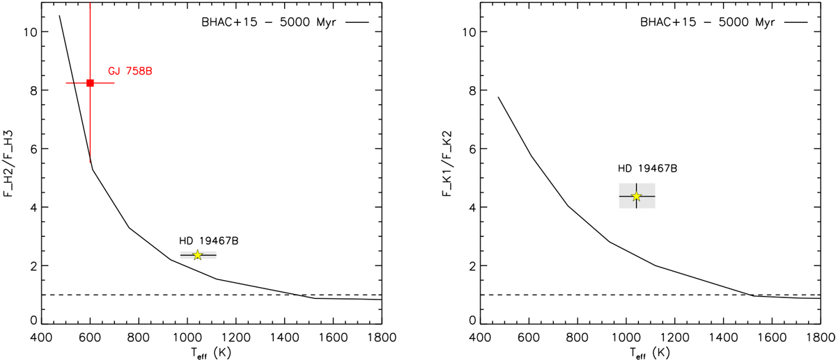
Fig. 18

image

Flux ratios outside and inside a methane absorption feature in the H band (left) and in the Ks band (right) as a function of the effective temperature of HD 19467B (star symbol) and GJ 758B (red square). The evolution predicted by the model of Baraffe et al. (2015) for an age of 5 Gyr is also shown (solid curve).

Current usage metrics show cumulative count of Article Views (full-text article views including HTML views, PDF and ePub downloads, according to the available data) and Abstracts Views on Vision4Press platform.

Data correspond to usage on the plateform after 2015. The current usage metrics is available 48-96 hours after online publication and is updated daily on week days.

Initial download of the metrics may take a while.