Free Access

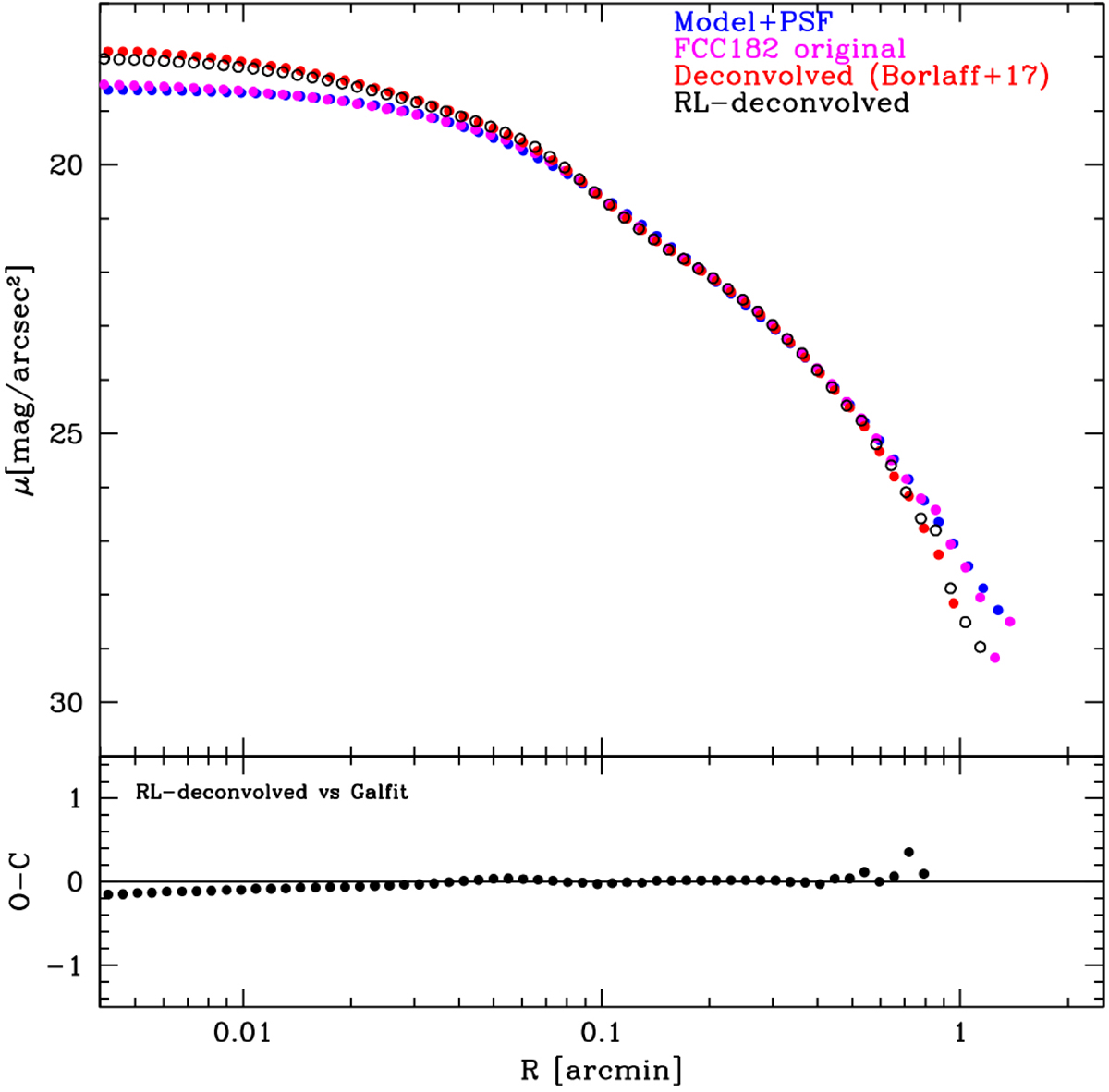
Fig. 3.

image

Top panel: deconvolved SB profile using RL algorithm (black) and the method by Borlaff et al. (2017) (red) over-plotted on the original (magenta) and the PSF-convolved model (blue) profiles for FCC 182. Bottom panel: residuals between the profile deconvolved with the RL algorithm and that deconvolved with the technique by Borlaff et al. (2017).

Current usage metrics show cumulative count of Article Views (full-text article views including HTML views, PDF and ePub downloads, according to the available data) and Abstracts Views on Vision4Press platform.

Data correspond to usage on the plateform after 2015. The current usage metrics is available 48-96 hours after online publication and is updated daily on week days.

Initial download of the metrics may take a while.