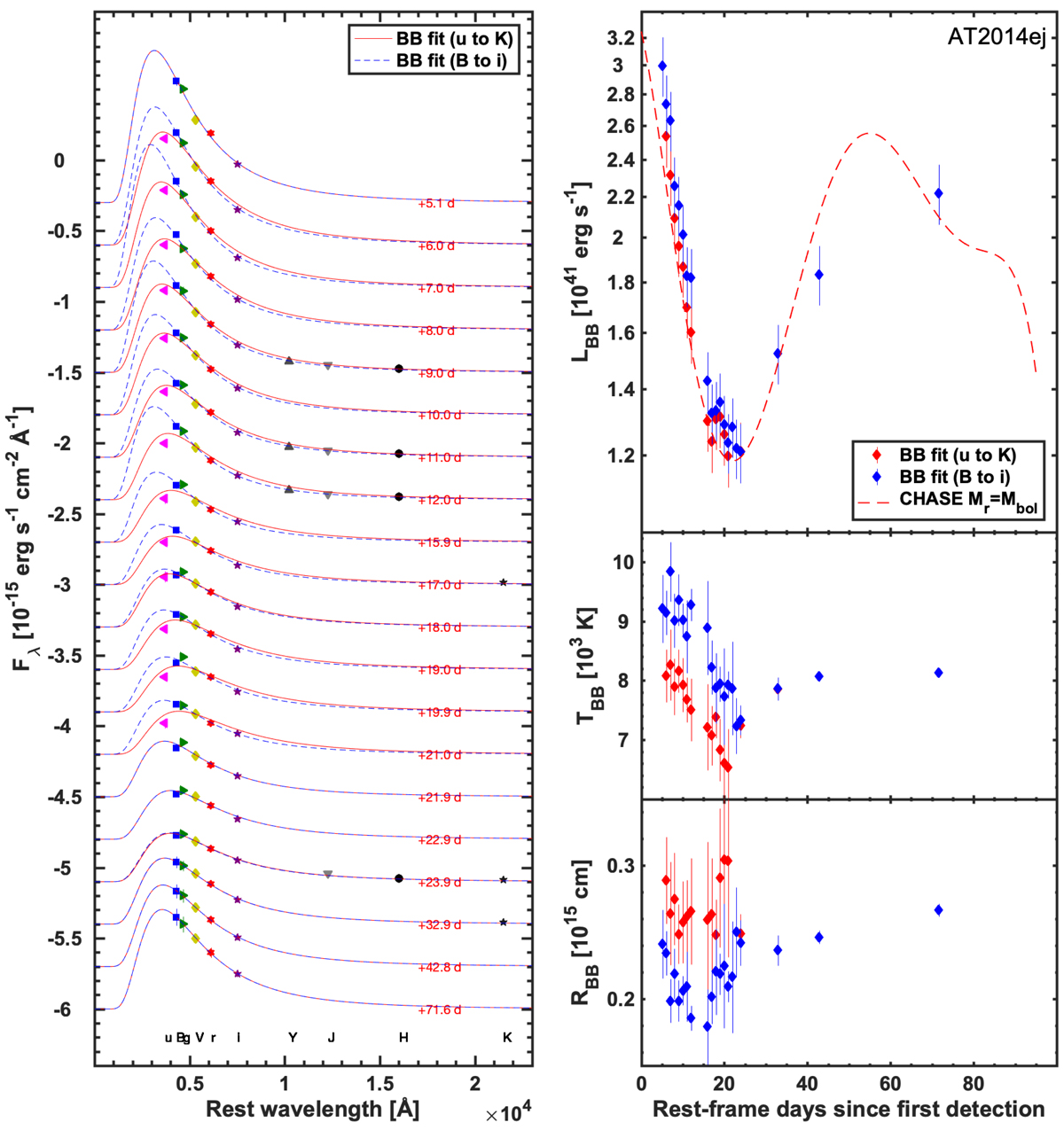
Fig. 4.

Left: SEDs of AT 2014ej constructed from photometry obtained between +5.1 d and +71.6 d post discovery. On each SED we overplot its best-fit BB function (solid red line) including all the available data from u to Ks, and its best-fit BB function (dashed blue line) including only the filters in common for all the epochs, namely B to i. Right: estimates of BB luminosities (from the BB fit integrations and from the CHASE r band) (top), BB temperatures (middle), and BB radii (bottom).
Current usage metrics show cumulative count of Article Views (full-text article views including HTML views, PDF and ePub downloads, according to the available data) and Abstracts Views on Vision4Press platform.
Data correspond to usage on the plateform after 2015. The current usage metrics is available 48-96 hours after online publication and is updated daily on week days.
Initial download of the metrics may take a while.