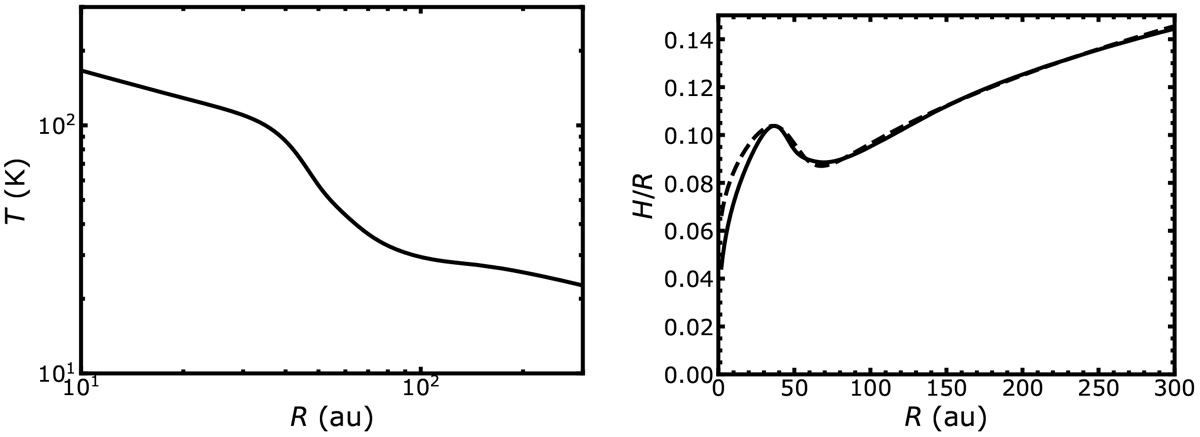
Fig. C.1

Left: density-weighted, vertically integrated disk temperature profile from the MCRT iterations described in Sect. 4.1. Right: disk aspect ratio H∕R corresponding to the temperature profile in the left panel, adopting a stellar mass of 1.25 M⊙ and a mean molecular weight of 2.4. The dashed curve shows a fit to the profile between 30 and 300 au, as expressed by Eq. (3).
Current usage metrics show cumulative count of Article Views (full-text article views including HTML views, PDF and ePub downloads, according to the available data) and Abstracts Views on Vision4Press platform.
Data correspond to usage on the plateform after 2015. The current usage metrics is available 48-96 hours after online publication and is updated daily on week days.
Initial download of the metrics may take a while.