Free Access
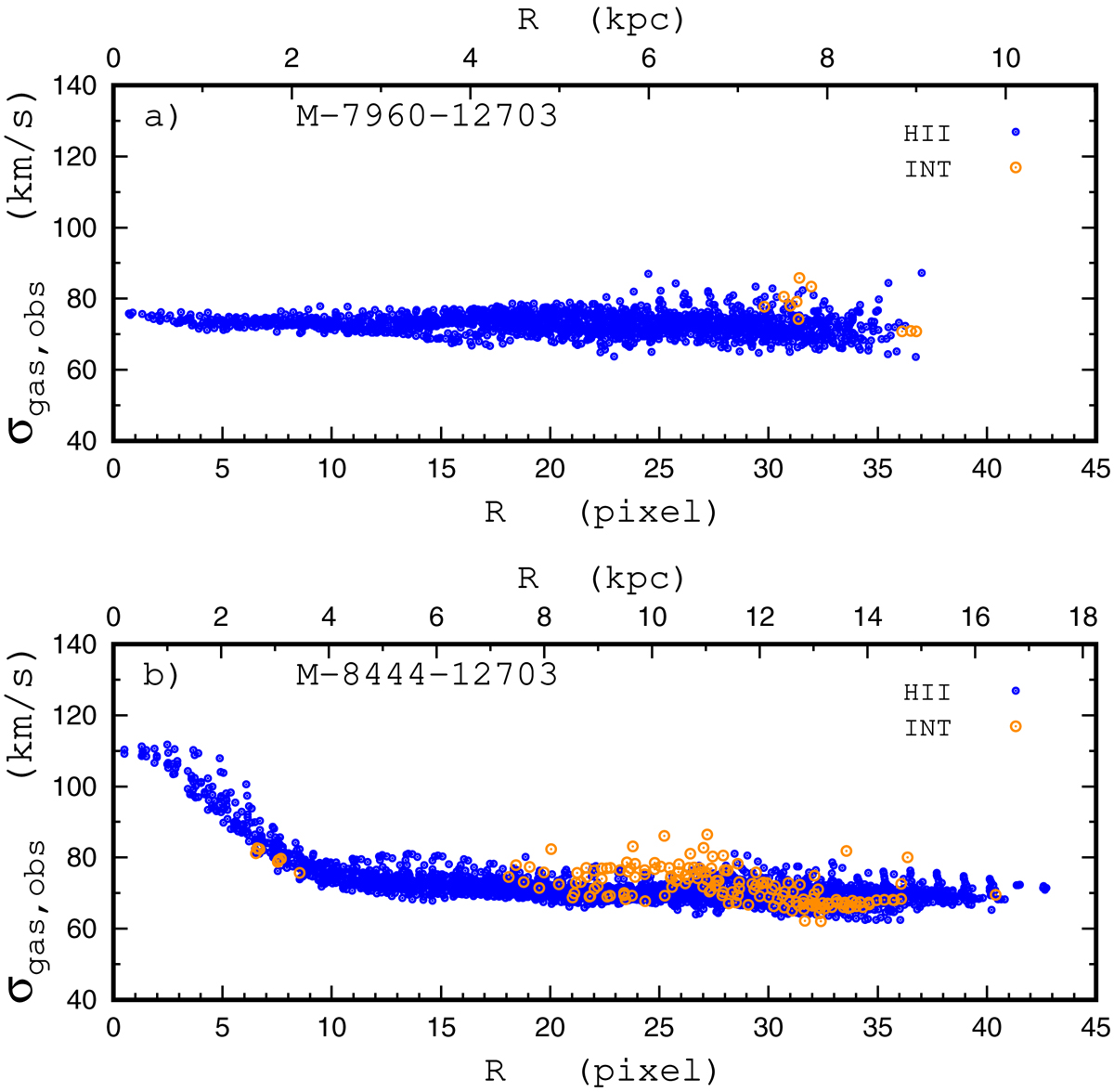
Fig. 12.

Gas velocity dispersion σgas as a function of radius for two galaxies with the circumnuclear regions of the SF-type. The spaxels of the SF-like spectra are denoted by blue symbols, the spaxels with intermediate spectra are shown by orange symbols.
Current usage metrics show cumulative count of Article Views (full-text article views including HTML views, PDF and ePub downloads, according to the available data) and Abstracts Views on Vision4Press platform.
Data correspond to usage on the plateform after 2015. The current usage metrics is available 48-96 hours after online publication and is updated daily on week days.
Initial download of the metrics may take a while.