Free Access

Fig. 13.

image

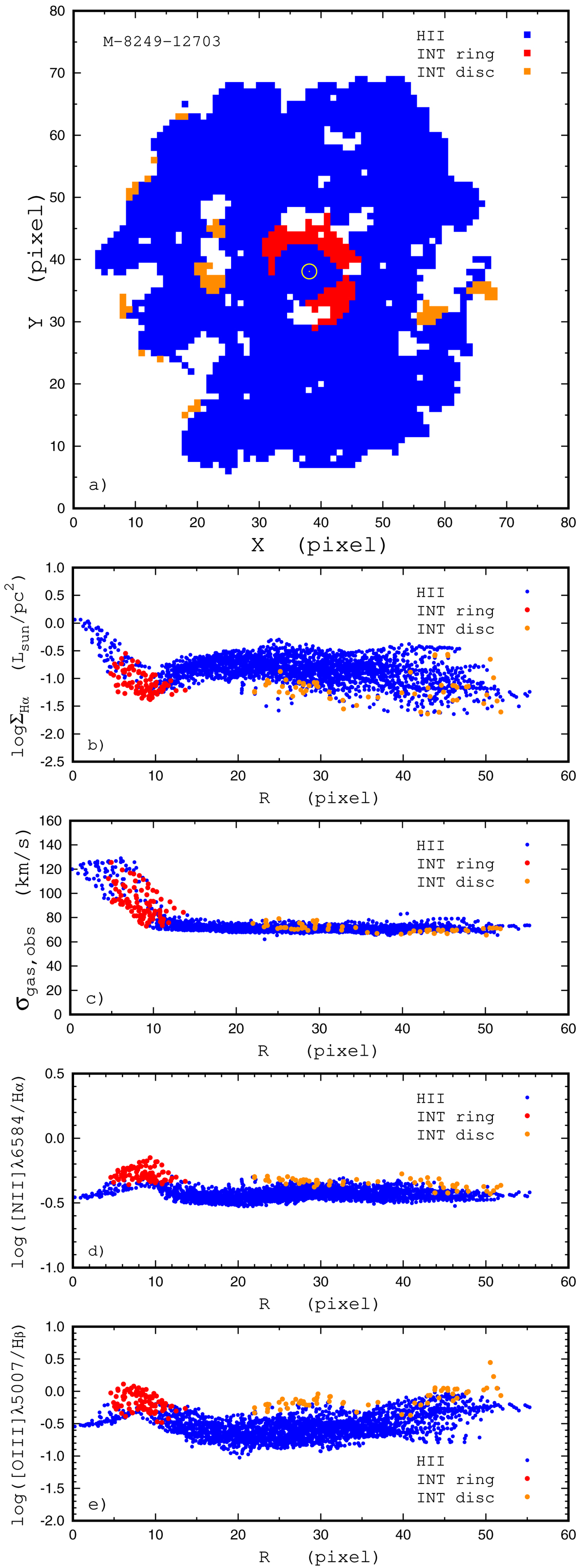
Galaxy with a ring of the INT type radiation. Panel a: distribution of the spaxels with the SF-like (blue squares), intermediate spectra in the ring (red squares), and in the*1pt disc (orange squares), for the galaxy M-8249-12703. The circle marks the kinematical center of the galaxy. Panels b–e: variation with radius of the Hα line surface brightness ΣHα (panel b), the observed (non corrected fro the instrumental profile) gas velocity dispersionσgas, obs (panel c), XBPT = log([N II]λ6584/Hα) (panel d), and YBPT = log([O III]λ5007/Hβ) (panel e). In each panel, 1 pixel corresponds to 0.276 kpc.

Current usage metrics show cumulative count of Article Views (full-text article views including HTML views, PDF and ePub downloads, according to the available data) and Abstracts Views on Vision4Press platform.

Data correspond to usage on the plateform after 2015. The current usage metrics is available 48-96 hours after online publication and is updated daily on week days.

Initial download of the metrics may take a while.