Open Access

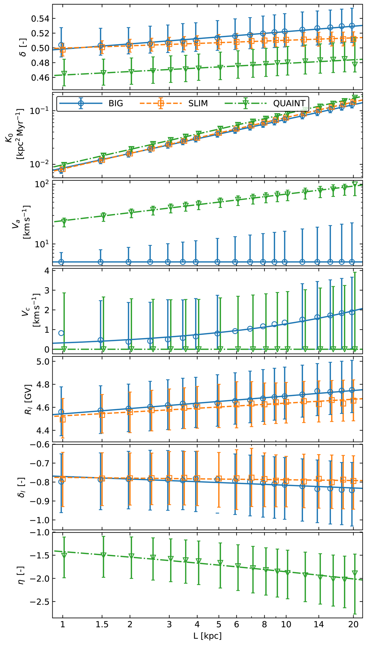
Fig. A.1.

image

Transport parameters dependence on the halo size L. Colour-coded symbols correspond to the best-fit values on the combined analysis of Li/C, Be/B, and B/C data for different models (BIG, SLIM, and QUAINT). The lines show, for each model and transport parameter, power-law fits to these data whose values are reported in the right-hand side of Table A.1.

Current usage metrics show cumulative count of Article Views (full-text article views including HTML views, PDF and ePub downloads, according to the available data) and Abstracts Views on Vision4Press platform.

Data correspond to usage on the plateform after 2015. The current usage metrics is available 48-96 hours after online publication and is updated daily on week days.

Initial download of the metrics may take a while.