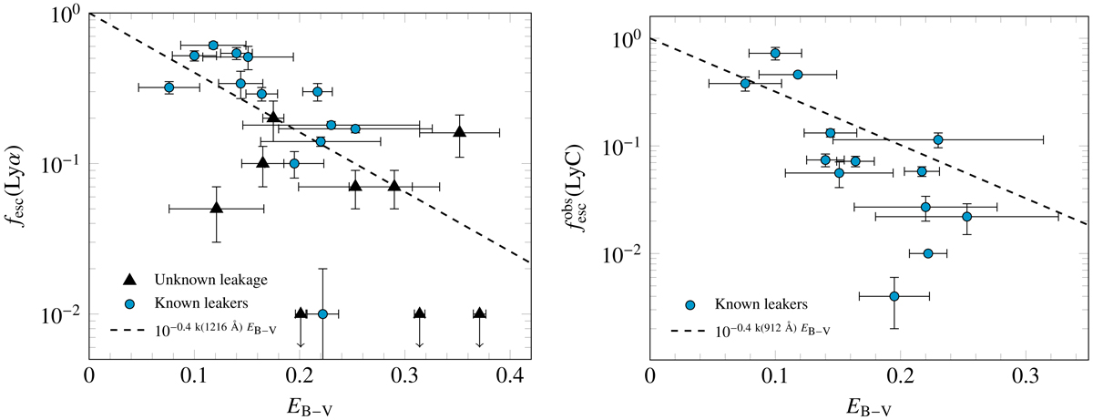
Fig. 12.

Observed fesc(Lyα) (left) and (right) versus the dust extinction of the stellar continuum with logarithmic y-axes. We included the shape of the dust attenuation curve at the wavelength of interest (either Lyα or LyC) with a dashed line. The correlation between the escape fractions of Lyα and LyC photons and the respective dust attenuation curve is significant at 3σ.
Current usage metrics show cumulative count of Article Views (full-text article views including HTML views, PDF and ePub downloads, according to the available data) and Abstracts Views on Vision4Press platform.
Data correspond to usage on the plateform after 2015. The current usage metrics is available 48-96 hours after online publication and is updated daily on week days.
Initial download of the metrics may take a while.