Free Access

Fig. 2

image

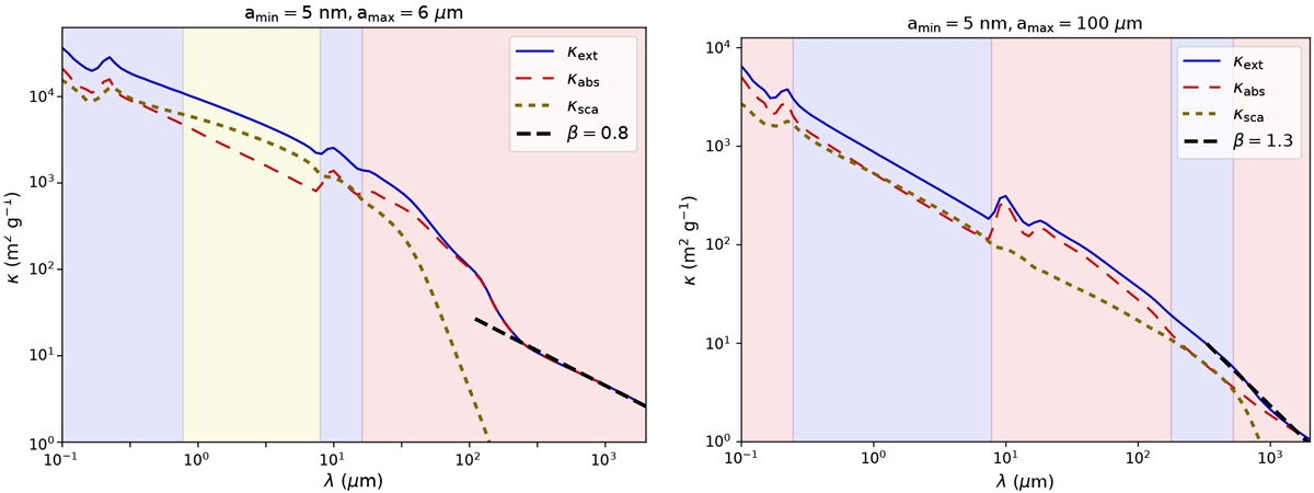
Left: mass opacities for scattering κsca (short-dashed ocher), absorption κabs (long-dashed red), and extinction κext = κabs + κsca (solid blue) for a dust model with grain sizes between amin = 5 nm and amax = 6 μm, leading to anopacity index of β = 0.8. The shaded areas indicate the wavelength regimes where dust polarization may be dominated by dichroic extinction (light blue), scattering (light yellow), and emission (light red). The shaded areas are estimated under the assumption that the product of dust number density ρdust and path length gives ρdust × ≈ 1 g cm−2 (see Sect. 4.6 and Reissl et al. (2014) for further details). Right: same as the left panel, but with an upper grain size of amax = 100 μm, corresponding to an opacity index of β = 1.3.

Current usage metrics show cumulative count of Article Views (full-text article views including HTML views, PDF and ePub downloads, according to the available data) and Abstracts Views on Vision4Press platform.

Data correspond to usage on the plateform after 2015. The current usage metrics is available 48-96 hours after online publication and is updated daily on week days.

Initial download of the metrics may take a while.