Free Access
Table 2
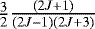
Hönl-London factors for the Δℓ2 = 1 magnetic dipole and electric quadrupole 12C16O2 absorption bands originating from the ground-vibrational state (Perevalov et al., in prep.).
Magnetic dipole band | Electric quadrupole band | |
---|---|---|
O-branch | – | ![]() |
P-branch | ![]() |
![]() |
Q-branch | ![]() |
![]() |
R-branch | ![]() |
![]() |
S-branch | – | ![]() |
Current usage metrics show cumulative count of Article Views (full-text article views including HTML views, PDF and ePub downloads, according to the available data) and Abstracts Views on Vision4Press platform.
Data correspond to usage on the plateform after 2015. The current usage metrics is available 48-96 hours after online publication and is updated daily on week days.
Initial download of the metrics may take a while.