Free Access
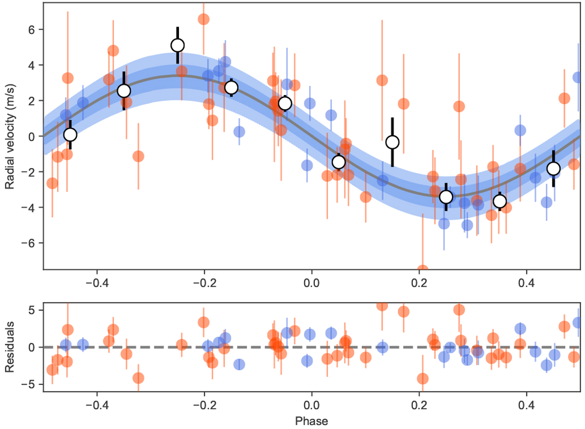
Fig. 8

Phase-folded RVs for TOI-1235 without the GP component. Orange circles are CARMENES VIS data, blue circles are HARPS-N data, white points are binned data for reference. The gray curve is the median best-fit juliet model, and the light and dark blue areas are its 68 and 95% credibility bands.
Current usage metrics show cumulative count of Article Views (full-text article views including HTML views, PDF and ePub downloads, according to the available data) and Abstracts Views on Vision4Press platform.
Data correspond to usage on the plateform after 2015. The current usage metrics is available 48-96 hours after online publication and is updated daily on week days.
Initial download of the metrics may take a while.