Fig. 3

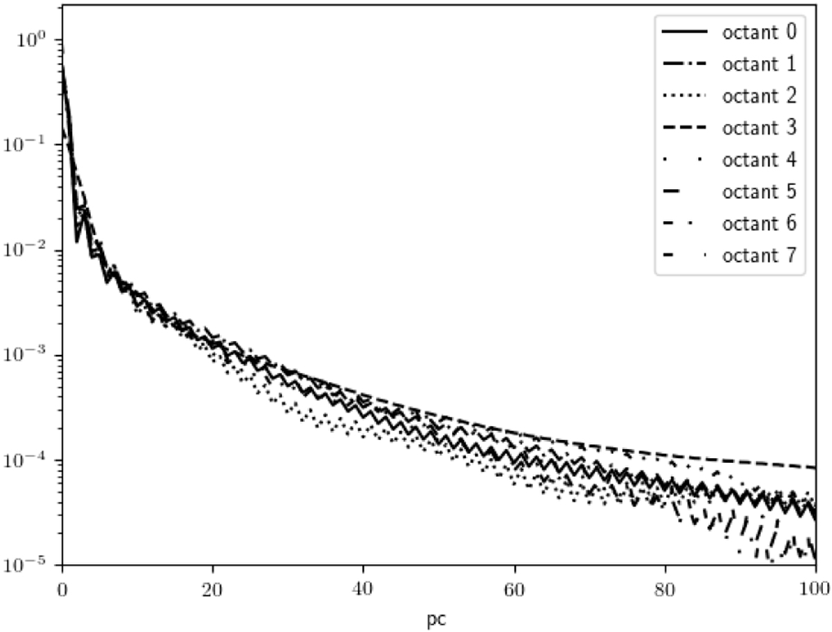
Reconstructed correlation kernels for the different octants. We note that the logarithmic dust extinction in our model is the result of an a-priori normal distributed field that is folded with these kernels, dependent on the octant. The octants are arranged such that octant i = 4b2 + 2b1 + b0 (for bi ∈ {0, 1}) extends in positive x-direction if and only if b0 = 0, in positive y-direction if and only if b1 = 0 and in positive z-direction if and only if b2 = 0. We note that all kernels fall to about 10% in the first 2 pc.
Current usage metrics show cumulative count of Article Views (full-text article views including HTML views, PDF and ePub downloads, according to the available data) and Abstracts Views on Vision4Press platform.
Data correspond to usage on the plateform after 2015. The current usage metrics is available 48-96 hours after online publication and is updated daily on week days.
Initial download of the metrics may take a while.