Free Access
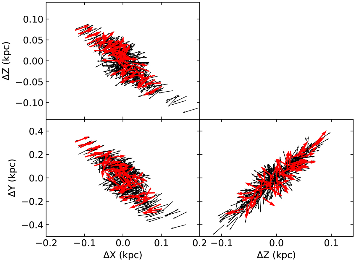
Fig. 5.

Space velocity vectors with respect to the mean cluster motion projected on different Galactic planes (relative XYZ coordinates) for cluster MS and binary stars, represented by black and red arrows, respectively.
Current usage metrics show cumulative count of Article Views (full-text article views including HTML views, PDF and ePub downloads, according to the available data) and Abstracts Views on Vision4Press platform.
Data correspond to usage on the plateform after 2015. The current usage metrics is available 48-96 hours after online publication and is updated daily on week days.
Initial download of the metrics may take a while.