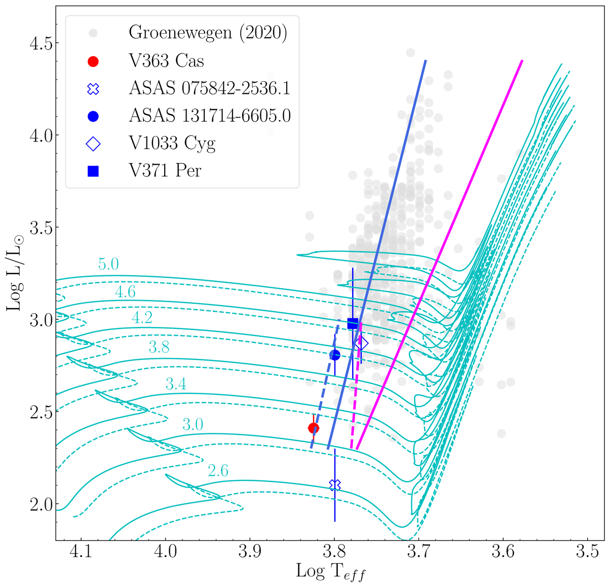
Fig. 5.

HR diagram of the known MW Li-rich DCEPs. V363 Cas is shown by the filled red circle. Different symbols (see labels) are used for the other four literature stars. The Li-normal DCEPs by Groenewegen (2020) are shown in light grey as reference. Instability strips for DCEP_F (solid lines) and DCEP_1O (dashed lines) by De Somma et al. (2020) as well as evolutionary tracks by Bressan et al. (2012) for Z = 0.01, Y = 0.267 (solid cyan lines) and Z = 0.014, Y = 0.273 (dashed cyan lines) in the mass range 2.6–5.0 M⊙ are also over-plotted on the data.
Current usage metrics show cumulative count of Article Views (full-text article views including HTML views, PDF and ePub downloads, according to the available data) and Abstracts Views on Vision4Press platform.
Data correspond to usage on the plateform after 2015. The current usage metrics is available 48-96 hours after online publication and is updated daily on week days.
Initial download of the metrics may take a while.