Highlight
Free Access
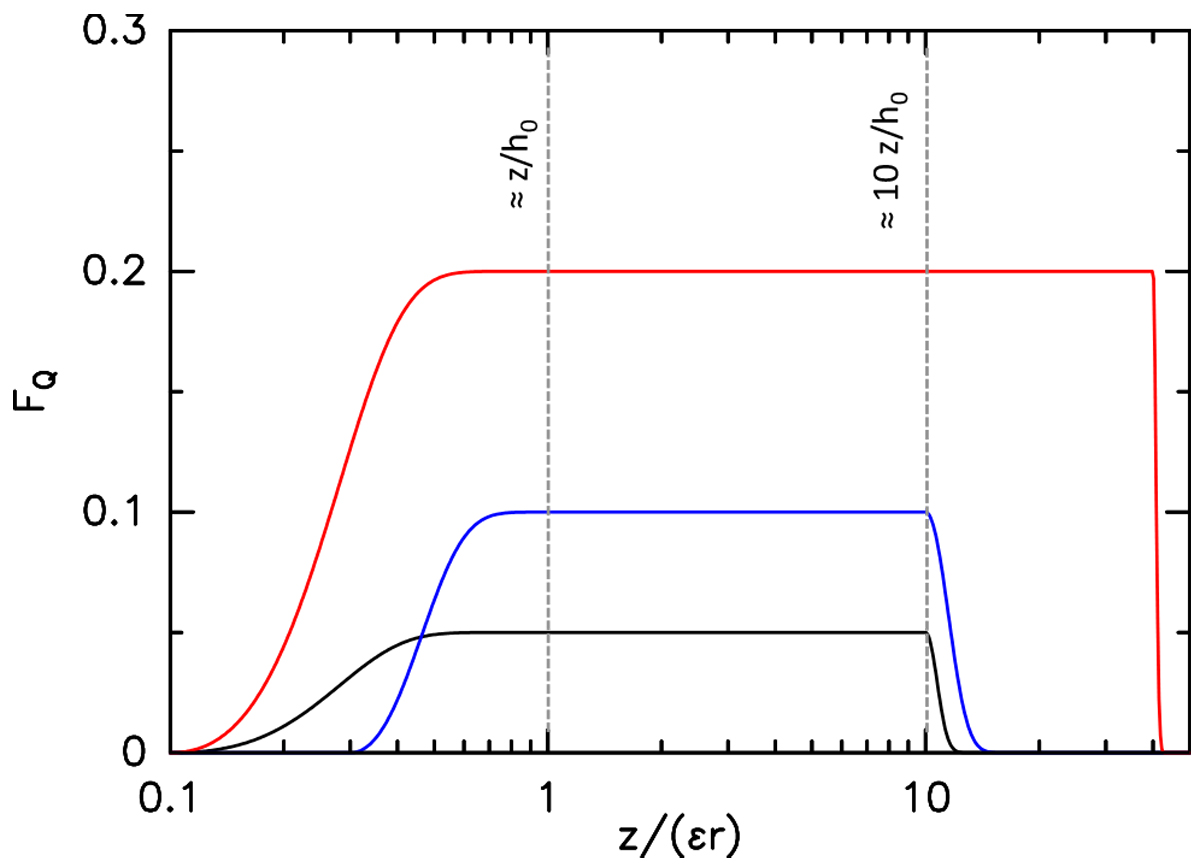
Fig. A.1

Vertical profile of the normalized entropy generation function FQ(z∕ɛr) in the four computed MHD disk wind solutions. In blue L13W36, in black L13W120, in red the (identical) function for L5W17 and L5W30. FQ is related to the entropy source function along the magnetic flow surface through
where
.
Current usage metrics show cumulative count of Article Views (full-text article views including HTML views, PDF and ePub downloads, according to the available data) and Abstracts Views on Vision4Press platform.
Data correspond to usage on the plateform after 2015. The current usage metrics is available 48-96 hours after online publication and is updated daily on week days.
Initial download of the metrics may take a while.