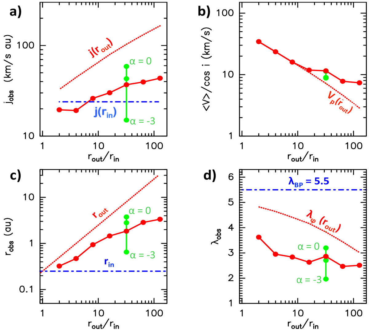
Fig. 7

Observational biases in the PV double-peak separation method for our reference edge-on case (i = 87°), as a functionof the DW radial extension (for α = −2, connected red dots) and emissivity index α (for rout/rin = 32, connected green dots): panels a and b show specific angular momentum and poloidal velocity estimated from the PV double-peak separation; c and d show launch radius and magnetic lever arm parameter inferred from the observed quantities in (a) and (b) using Anderson’s relations (Eqs. (1) and (2)). Values that would be obtained for a single ring on the outermost wind streamline are shown in dotted red curves. The true magnetic lever arm parameter λBP of the MHD solution and relevant values at rin are indicated for reference in dot-dashed blue.
Current usage metrics show cumulative count of Article Views (full-text article views including HTML views, PDF and ePub downloads, according to the available data) and Abstracts Views on Vision4Press platform.
Data correspond to usage on the plateform after 2015. The current usage metrics is available 48-96 hours after online publication and is updated daily on week days.
Initial download of the metrics may take a while.