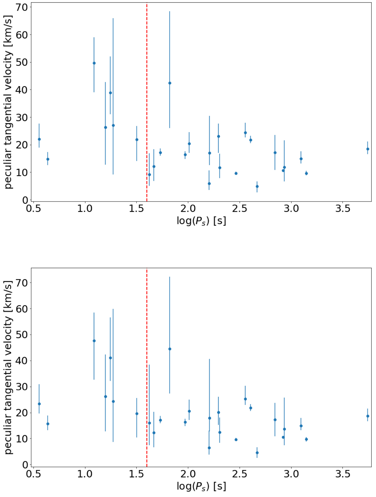
Fig. 2.

Peculiar tangential velocities of Galactic BeXRBs with respect to Ps. The red vertical line delineates the approximate divide (Ps, split = 40 s) between the two BeXRB subpopulations according to KCP. Top: tangential peculiar velocities computed using the scale lengths from Bailer-Jones et al. (2018). Bottom: same as above, but with the scale length L resulting from the resampling we used.
Current usage metrics show cumulative count of Article Views (full-text article views including HTML views, PDF and ePub downloads, according to the available data) and Abstracts Views on Vision4Press platform.
Data correspond to usage on the plateform after 2015. The current usage metrics is available 48-96 hours after online publication and is updated daily on week days.
Initial download of the metrics may take a while.