Free Access

Fig. 4

image

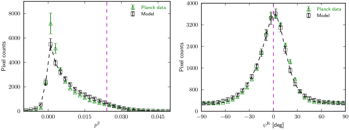
Left panel: histogram of the square of the polarization fraction, p2, at 353 GHz. Right panel: histogram of ψR, the difference between the measured polarization angle at 353 GHz and that computed for the mean GMF orientation over mask65. Green triangles are mean () estimated from Planck data subsets, and black squares are mean () estimated from 100 realisations of model maps. The vertical dashed line in the left panel corresponds to the model parameter p0 = 15.5% (), while the vertical dashed line in the right panel corresponds to a model without a turbulent component of the GMF.

Current usage metrics show cumulative count of Article Views (full-text article views including HTML views, PDF and ePub downloads, according to the available data) and Abstracts Views on Vision4Press platform.

Data correspond to usage on the plateform after 2015. The current usage metrics is available 48-96 hours after online publication and is updated daily on week days.

Initial download of the metrics may take a while.