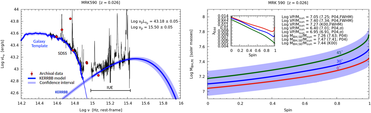
Fig. A.8.

Fit of the source MRK 590. Prominent host-galaxy emission required in the fitting procedure. For a satisfactory fit, the AD emission has to be cut at around Log ν/Hz ∼ 15 (i.e., the AD size is smaller than 106Rg as implemented in KERRBB). In the range Log ν/Hz = 14.9 − 15, the Balmer continuum can describe the rise of spectroscopic data (not represented for clarity). For this source, the peak is not visible but we used the curvature at smaller frequencies to obtain an estimate of the position.
Current usage metrics show cumulative count of Article Views (full-text article views including HTML views, PDF and ePub downloads, according to the available data) and Abstracts Views on Vision4Press platform.
Data correspond to usage on the plateform after 2015. The current usage metrics is available 48-96 hours after online publication and is updated daily on week days.
Initial download of the metrics may take a while.